Image Details

Choose export citation format:

Investigating the High-energy Radiation Environment of Planets in Sun-like Binary Systems

  • Authors: Patrick R. Behr, Kevin France, Nicholas Kruczek, Nicholas Nell, Brian Fleming, Stefan Ulrich, Girish M. Duvvuri, Amy Louca, Yamila Miguel

Patrick R. Behr et al 2026 The Astronomical Journal 171 .

  • Provider: AAS Journals

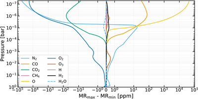
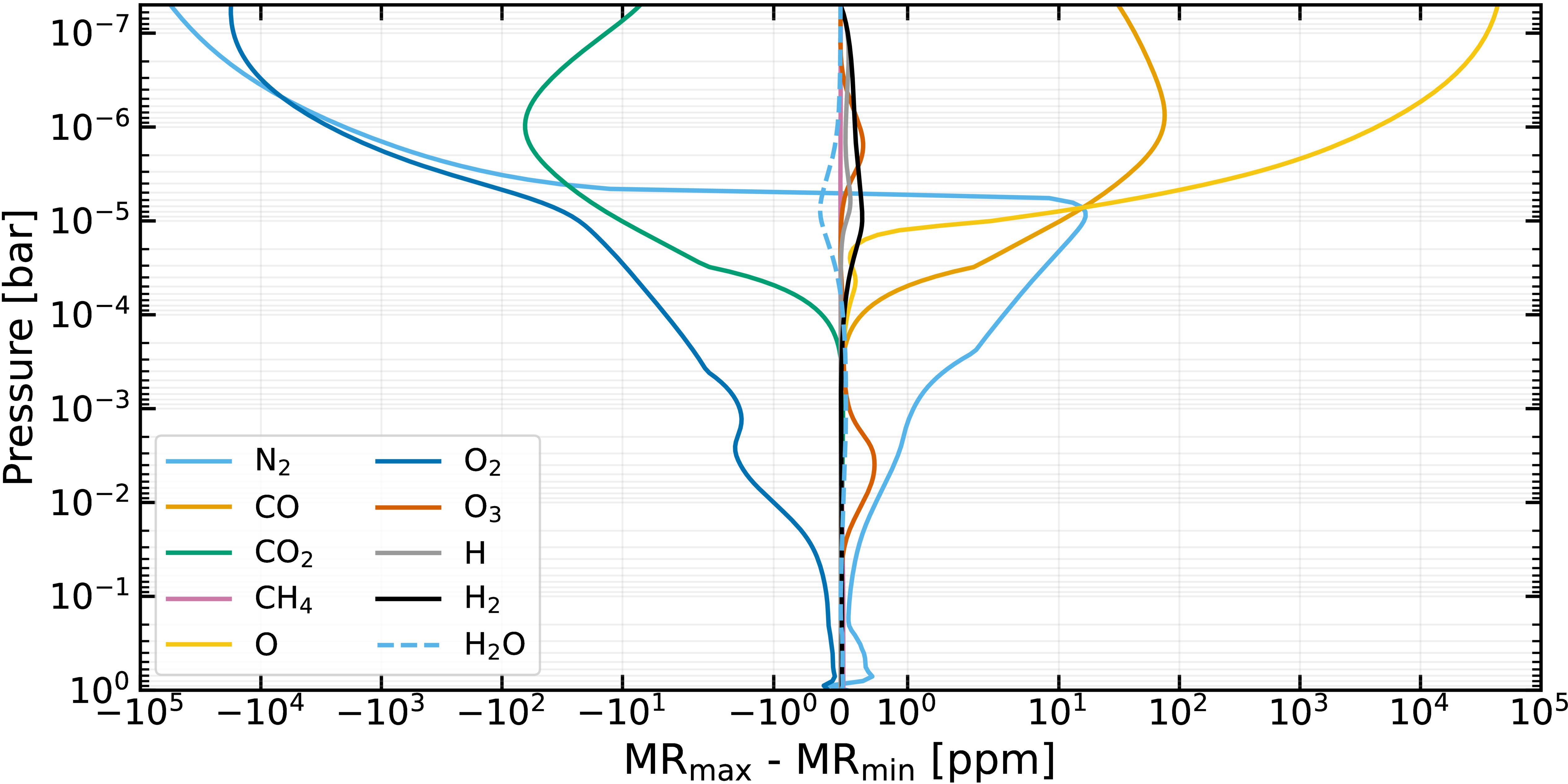
Caption: Figure 14.

Difference in mixing ratio between the maximum and minimum flux scenarios for the species shown in Figure 13. The profile for H2O is dashed because it shares the same color as N2.

Other Images in This Article

Show More

Copyright and Terms & Conditions

Additional terms of reuse