Image Details

Choose export citation format:

Modeling the Optical Colors of Galactic Cirrus Clouds in the Stripe 82 Region

  • Authors: Kwang-Il Seon, Jongwan Ko, Woowon Byun, Jaehyun Lee, Young-Soo Jo

Kwang-Il Seon et al 2025 The Astronomical Journal 170 .

  • Provider: AAS Journals

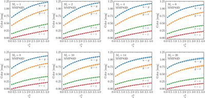
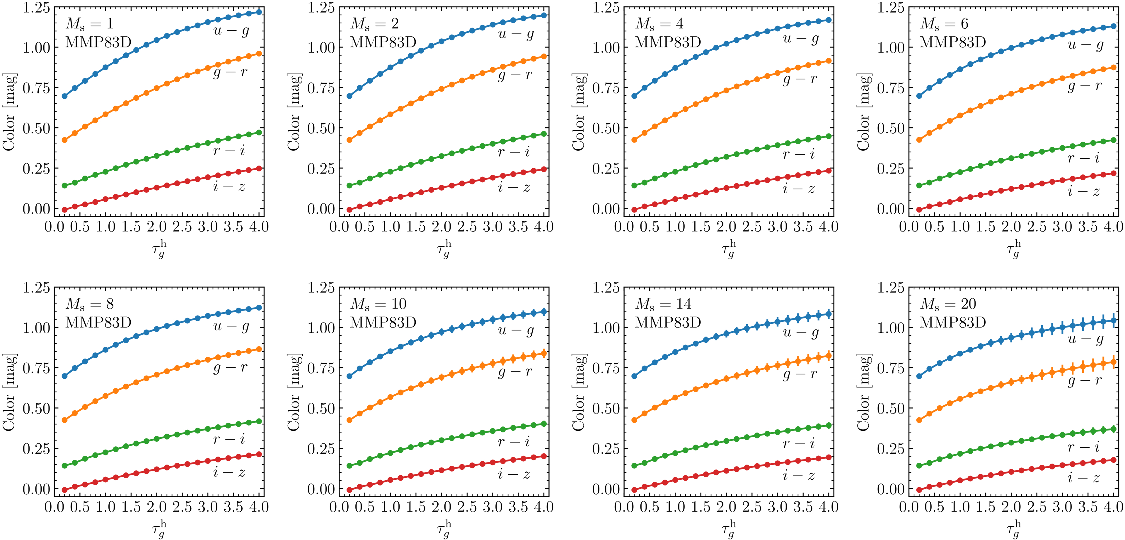
Caption: Figure 4.

Mean colors (u − g, g − r, r − i, and i − z) as functions of ﹩{\tau }_{g}^{{\rm{h}}}﹩ for various Ms. The values are averaged over 10 random realizations of the density structure in the RT simulations. Standard deviations are also shown as error bars. The ISRF SED of MMP83D was used.

Other Images in This Article
Copyright and Terms & Conditions

Additional terms of reuse