Image Details

Choose export citation format:

Modeling the Optical Colors of Galactic Cirrus Clouds in the Stripe 82 Region

  • Authors: Kwang-Il Seon, Jongwan Ko, Woowon Byun, Jaehyun Lee, Young-Soo Jo

Kwang-Il Seon et al 2025 The Astronomical Journal 170 .

  • Provider: AAS Journals

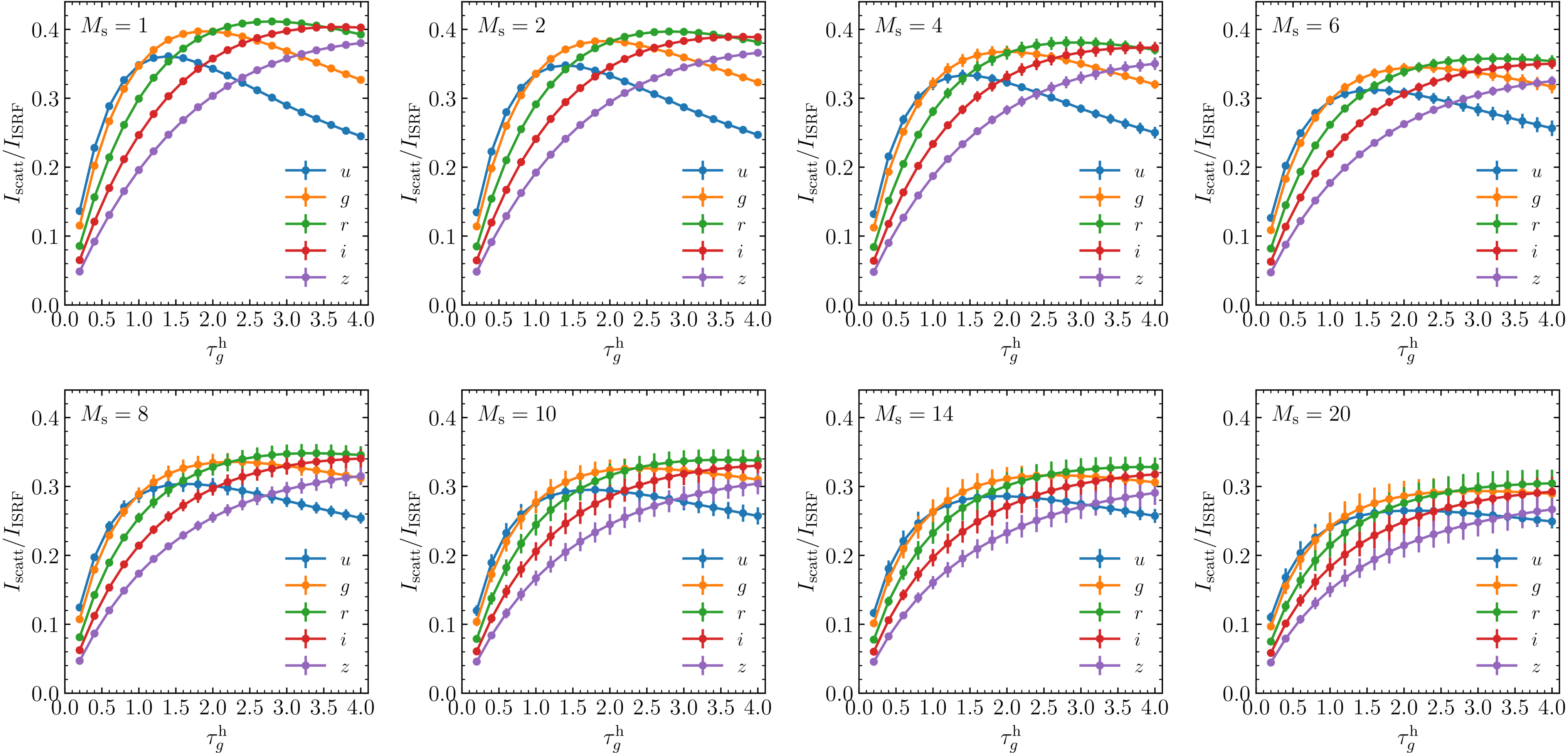
Caption: Figure 3.

Mean scattered-light intensities as functions of ﹩{\tau }_{g}^{{\rm{h}}}﹩ for various Ms. The intensities are averaged over 10 random realizations of the density structure in the RT simulations. Standard deviations across the 10 samples are shown as error bars.

Other Images in This Article
Copyright and Terms & Conditions

Additional terms of reuse