Image Details

Choose export citation format:

Delayed and Displaced: The Impact of Binary Interactions on Core-collapse SN Feedback

  • Authors: Tom Wagg, Julianne J. Dalcanton, Mathieu Renzo, Katelyn Breivik, Matthew E. Orr, Adrian M. Price-Whelan, Akaxia Cruz, Alyson Brooks, Ulrich P. Steinwandel, Eric C. Bellm

Tom Wagg et al 2025 The Astronomical Journal 170 .

  • Provider: AAS Journals

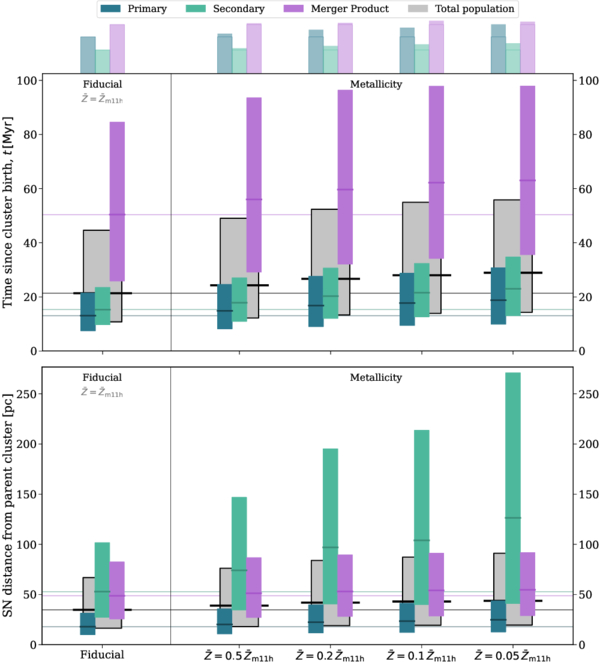
Caption: Figure 6.

The same as Figure 4, except varying average population metallicity. Decreasing the metallicity of simulated binary stars leads to a systematic increase in both SNe times and locations. An interactive version of this data is available in Figure 4.

Other Images in This Article

Show More

Copyright and Terms & Conditions

Additional terms of reuse