Image Details

Choose export citation format:

Delayed and Displaced: The Impact of Binary Interactions on Core-collapse SN Feedback

  • Authors: Tom Wagg, Julianne J. Dalcanton, Mathieu Renzo, Katelyn Breivik, Matthew E. Orr, Adrian M. Price-Whelan, Akaxia Cruz, Alyson Brooks, Ulrich P. Steinwandel, Eric C. Bellm

Tom Wagg et al 2025 The Astronomical Journal 170 .

  • Provider: AAS Journals

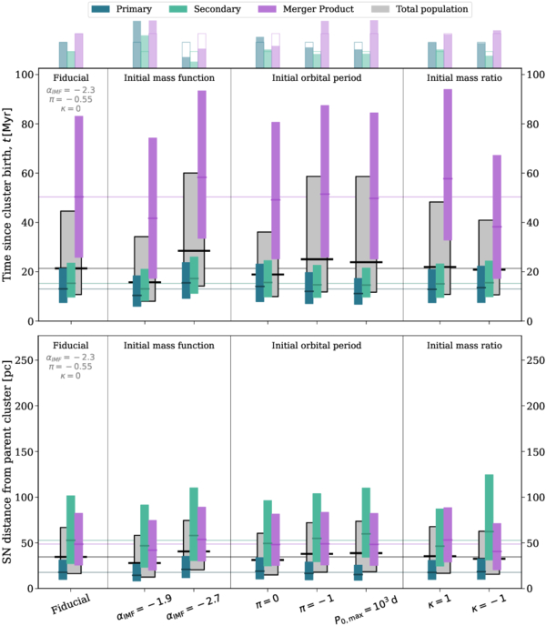
Caption: Figure 5.

The same as Figure 4, except varying different choices of initial conditions. Variations of the initial mass function (IMF) and initial orbital period distribution can affect SNe timing, but initial conditions do not strongly impact SN spatial locations. An interactive version of this data is available in Figure 4.

Other Images in This Article

Show More

Copyright and Terms & Conditions

Additional terms of reuse