Image Details

Choose export citation format:

Delayed and Displaced: The Impact of Binary Interactions on Core-collapse SN Feedback

  • Authors: Tom Wagg, Julianne J. Dalcanton, Mathieu Renzo, Katelyn Breivik, Matthew E. Orr, Adrian M. Price-Whelan, Akaxia Cruz, Alyson Brooks, Ulrich P. Steinwandel, Eric C. Bellm

Tom Wagg et al 2025 The Astronomical Journal 170 .

  • Provider: AAS Journals

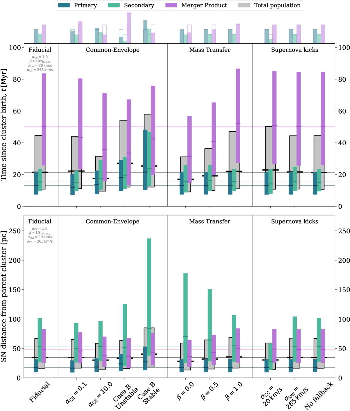
Caption: Figure 4.

Comparison of the impact of binary physics variations on the timing (top panel) and location (bottom panel) of SNe. Each group of bars in the main panels corresponds to a different choice of binary physics. Colored bars show the interquartile range for each subpopulation (labeled in the legend) with darker lines at the median. The gray bars show the same information for the overall distribution. Full distributions for the fiducial model are shown in Figure 1. Thin horizontal lines indicate the fiducial median values for comparison. Fiducial parameter are annotated in the top-left corner. The small bars at the top indicate the number of SNe per 100 M, with the fiducial values shown in a thin outline. Section 4.2 explains how to interpret this figure (and Figures 57) in further detail. An interactive version of this figure (and Figures 57) is available. The interactive version allows the reader to focus the plot on specific progenitor types or model variations.

An interactive version of this figure is available in the online article.

An interactive version of this figure is available.

An interactive version of this figure is available in the online journal.

Other Images in This Article

Show More

Copyright and Terms & Conditions

Additional terms of reuse