Image Details

Choose export citation format:

Beating Stellar Systematic Error Floors Using Transit-based Densities

  • Authors: Jason D. Eastman, Hannah Diamond-Lowe, Jamie Tayar

Jason D. Eastman et al 2023 The Astronomical Journal 166 .

  • Provider: AAS Journals

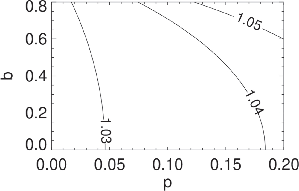
Caption: Figure 10.

A contour plot showing the maximum allowed unaccounted blend in the transit light curve as a function of impact parameter b and planet-to-star radius ratio p such that its systematic impact ρ * is below the 2% systematic impact from M *. That is, the leftmost contour shows the family of planets whose systematics on the light-curve-determined ρ * would be dominated by blends larger than 3% of the host star flux. Stated differently, as long as the unaccounted flux was less than 3%, the largest source of systematic error in the model would come from M *.

Other Images in This Article
Copyright and Terms & Conditions

Additional terms of reuse