Image Details

Choose export citation format:

Beating Stellar Systematic Error Floors Using Transit-based Densities

  • Authors: Jason D. Eastman, Hannah Diamond-Lowe, Jamie Tayar

Jason D. Eastman et al 2023 The Astronomical Journal 166 .

  • Provider: AAS Journals

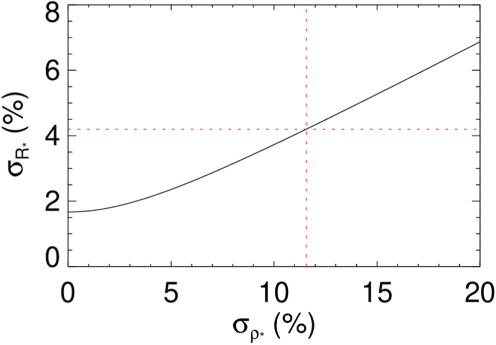
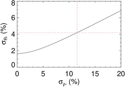
Caption: Figure 3.

A plot of ﹩{\sigma }_{{R}_{* }}﹩ as a function of ﹩{\sigma }_{\,{\rho }_{* }}﹩, assuming ﹩{\sigma }_{{M}_{* }}=5 \% ﹩. The break-even point, where ﹩{\sigma }_{{R}_{* }}=4.2 \% ﹩ from Tayar et al. (2022), is shown as a vertical red dashed line and corresponds to ﹩{\sigma }_{\,{\rho }_{* }}\sim 11.5 \% ﹩.

Other Images in This Article
Copyright and Terms & Conditions

Additional terms of reuse