Image Details

Choose export citation format:

INTEGRATION OF PARTICLE-GAS SYSTEMS WITH STIFF MUTUAL DRAG INTERACTION

  • Authors: Chao-Chin Yang(楊朝欽), and Anders Johansen

2016 The Astrophysical Journal Supplement Series 224 39.

  • Provider: AAS Journals

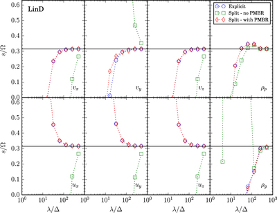
Caption: Figure 12.

Measured growth rates as a function of resolution for the linD mode of the streaming instability from Bai & Stone (2010b). This mode is for particles of dimensionless stopping time ﹩{\tau }_{s}={10}^{-3}﹩ and a background solid-to-gas density ratio of ﹩{\epsilon }_{0}=2﹩. The arrangement of the panels and the line styles is the same as in Figure 9. The growth rates are measured over the time interval ﹩0\leqslant t\leqslant 0.01P﹩.

Other Images in This Article

Show More

Copyright and Terms & Conditions