Image Details

Choose export citation format:

INTEGRATION OF PARTICLE-GAS SYSTEMS WITH STIFF MUTUAL DRAG INTERACTION

  • Authors: Chao-Chin Yang(楊朝欽), and Anders Johansen

2016 The Astrophysical Journal Supplement Series 224 39.

  • Provider: AAS Journals

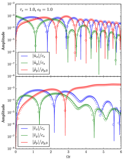
Caption: Figure 5.

Field amplitudes of a particle-gas shear wave as a function of time. In this case, the system has a dimensionless stopping time of ﹩{\tau }_{s}=1﹩ and a solid-to-gas density ratio of ﹩{\epsilon }_{0}=1﹩, and its initial conditions are described in Section 4.1. The solid lines are the analytical solutions obtained from integrating Equations (45), while the circles are the measurements from each and every time step of the simulation data obtained by our algorithm. The top panel shows the velocity and density fields of the gas, while the bottom panel shows those of the particles.

Other Images in This Article

Show More

Copyright and Terms & Conditions