Image Details

Choose export citation format:

INTEGRATION OF PARTICLE-GAS SYSTEMS WITH STIFF MUTUAL DRAG INTERACTION

  • Authors: Chao-Chin Yang(楊朝欽), and Anders Johansen

2016 The Astrophysical Journal Supplement Series 224 39.

  • Provider: AAS Journals

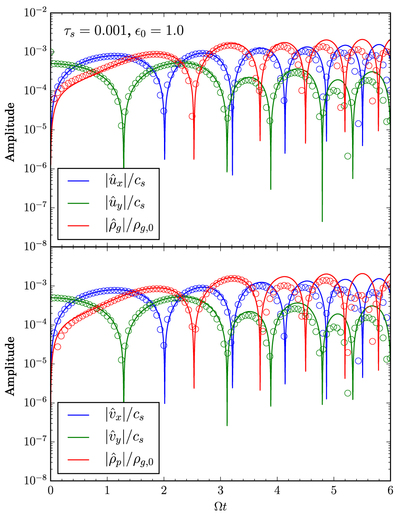
Caption: Figure 6.

Same as Figure 5, except that ﹩{\tau }_{s}={10}^{-3}﹩ and ﹩{\epsilon }_{0}=1﹩. Note that there exists an initial jump in ﹩{\hat{u}}_{y}﹩ and ﹩{\hat{v}}_{y}﹩ in the analytical solution.

Other Images in This Article

Show More

Copyright and Terms & Conditions