Image Details

Choose export citation format:

INTEGRATION OF PARTICLE-GAS SYSTEMS WITH STIFF MUTUAL DRAG INTERACTION

  • Authors: Chao-Chin Yang(楊朝欽), and Anders Johansen

2016 The Astrophysical Journal Supplement Series 224 39.

  • Provider: AAS Journals

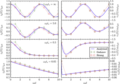
Caption: Figure 2.

Comparison between analytical and numerically obtained solutions for a damped harmonic oscillator. The left column shows the position of the particle, while the right column shows its velocity, both of which are as a function of time. The rows, from top to bottom, demonstrate the cases of an undamped (﹩{\omega }_{0}{t}_{s}=\infty ﹩), underdamped (﹩{\omega }_{0}{t}_{s}=5﹩), critically damped (﹩{\omega }_{0}{t}_{s}=0.5﹩), and over-damped (﹩{\omega }_{0}{t}_{s}=0.05﹩) system, respectively. The solid lines are the analytical solutions, while the diamond and the square symbols denote the numerical solutions using the Godunov and the Strang splitting methods, respectively. Note that an unusually large time step of ﹩{\rm{\Delta }}t={\omega }_{0}^{-1}﹩ is used to highlight the numerical errors.

Other Images in This Article

Show More

Copyright and Terms & Conditions