Image Details

Choose export citation format:

INTEGRATION OF PARTICLE-GAS SYSTEMS WITH STIFF MUTUAL DRAG INTERACTION

  • Authors: Chao-Chin Yang(楊朝欽), and Anders Johansen

2016 The Astrophysical Journal Supplement Series 224 39.

  • Provider: AAS Journals

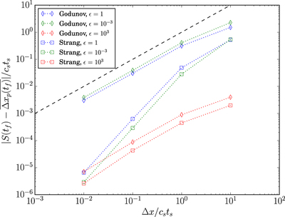
Caption: Figure 4.

Absolute error in the mean displacement of the particles as a function of cell size ﹩{\rm{\Delta }}x﹩ for the uniform streaming test. The displacements are measured at a fixed final time of ﹩{t}_{f}=2{t}_{s}﹩ and are normalized by ﹩{c}_{s}{t}_{s}﹩. The diamond and the square symbols are the results using the Godunov and the Strang splitting methods, respectively. The blue, green, and red colors denote a solid-to-gas density ratio of ﹩\epsilon =1,\epsilon ={10}^{-3}﹩, and ﹩\epsilon ={10}^{3}﹩, respectively. The dashed line indicates the cell size for a relative comparison of the errors. Note that it takes exactly one time step to reach ﹩t={t}_{f}﹩ for ﹩{\rm{\Delta }}x=10{c}_{s}{t}_{s}﹩. Note also that the accuracy of the gas and the particle velocities we obtain in this test problem is close to machine precision irrespective of the resolution, as discussed in Section 3.2.

Other Images in This Article

Show More

Copyright and Terms & Conditions