Image Details

Choose export citation format:

The Origin of the [C II] Deficit in a Simulated Dwarf Galaxy Merger-driven Starburst

  • Authors: Thomas G. Bisbas, Stefanie Walch, Thorsten Naab, Natalia Lahén, Rodrigo Herrera-Camus, Ulrich P. Steinwandel, Constantina M. Fotopoulou, Chia-Yu Hu, Peter H. Johansson

Thomas G. Bisbas et al 2022 The Astrophysical Journal 934 .

  • Provider: AAS Journals

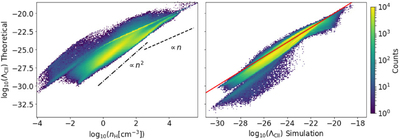
Caption: Figure 15.

Left panel: correlation of the theoretical ΛCII function (Equation (C11)) vs. n H. The ∝ n H and ﹩\propto {n}_{{\rm{H}}}^{2}﹩ relations are plotted for comparison. Right panel: theoretical vs. simulation C II cooling. The red solid line is the y = x function to guide the eye. As can be seen, the majority of the ΛCII function is well reproduced following the analytical expressions discussed in Appendix C.

Other Images in This Article

Show More

Copyright and Terms & Conditions

Additional terms of reuse