Image Details

Choose export citation format:

Stellar Evolution in Real Time: Models Consistent with the Direct Observation of a Thermal Pulse in T Ursae Minoris

  • Authors: László Molnár, Meridith Joyce, and László L. Kiss

2019 The Astrophysical Journal 879 62.

  • Provider: AAS Journals

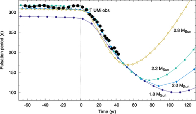
Caption: Figure 13.

Comparison between the ongoing period decrease in T UMi, and the same in three models with different initial masses. Depending on the mass, the pulsation period may be expected to increase again in a few decades.

Other Images in This Article

Show More

Copyright and Terms & Conditions