Image Details

Choose export citation format:

Hybrid-kinetic Simulations of Ion Heating in Alfvénic Turbulence

  • Authors: Lev Arzamasskiy, Matthew W. Kunz, Benjamin D. G. Chandran, and Eliot Quataert

2019 The Astrophysical Journal 879 53.

  • Provider: AAS Journals

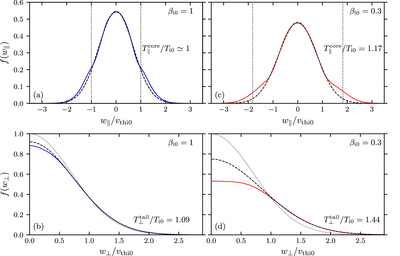
Caption: Figure 6.

(a), (c) Box-averaged parallel distribution function ﹩f({w}_{\parallel })﹩ at the end of ﹩{\beta }_{{\rm{i}}0}=1﹩ and 0.3 runs; both consist of a Maxwellian core (dashed line, with fit temperature ﹩{T}_{\parallel }^{\mathrm{core}}﹩) and non-Maxwellian wings. Vertical dashed lines denote ﹩{v}_{{\rm{A}}0}﹩. (b), (d) Box-averaged perpendicular distribution function ﹩f({w}_{\perp })﹩ for ﹩{\beta }_{{\rm{i}}0}=1﹩ and 0.3; both consist of a Maxwellian tail (dashed line, with fit temperature ﹩{T}_{\perp }^{\mathrm{tail}}﹩) and a flattened core. Dotted lines indicate the initial Maxwellians; “∥” and “⊥” are measured with respect to the magnetic field at the location of each particle.

Other Images in This Article
Copyright and Terms & Conditions