Image Details

Choose export citation format:

Hybrid-kinetic Simulations of Ion Heating in Alfvénic Turbulence

  • Authors: Lev Arzamasskiy, Matthew W. Kunz, Benjamin D. G. Chandran, and Eliot Quataert

2019 The Astrophysical Journal 879 53.

  • Provider: AAS Journals

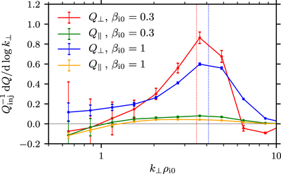
Caption: Figure 3.

Perpendicular (Q) and parallel (Q) particle-energization rates as functions of ﹩{k}_{\perp }{\rho }_{{\rm{i}}0}﹩ for both runs. (Here, “⊥” and “∥” are measured with respect to the guide field). Rates are measured within logarithmic k-bins centered on the points shown in the plot and are normalized to the energy injected by external driving, Qinj. For both ﹩{\beta }_{{\rm{i}}0}﹩, Q ≪ Q, with the latter peaking at ﹩{k}_{\perp }{\rho }_{{\rm{i}}0}\approx 4\mbox{--}5﹩, near where ﹩{\omega }_{\mathrm{KAW}}\approx {{\rm{\Omega }}}_{{\rm{i}}0}﹩ in both runs (see Section 3.2). Error bars indicate the variance of Q over time. As in Figures 2(g), (h), vertical dotted lines mark the values of k at which ωKAW ≈ Ωi0.

Other Images in This Article
Copyright and Terms & Conditions