Image Details

Choose export citation format:

Hybrid-kinetic Simulations of Ion Heating in Alfvénic Turbulence

  • Authors: Lev Arzamasskiy, Matthew W. Kunz, Benjamin D. G. Chandran, and Eliot Quataert

2019 The Astrophysical Journal 879 53.

  • Provider: AAS Journals

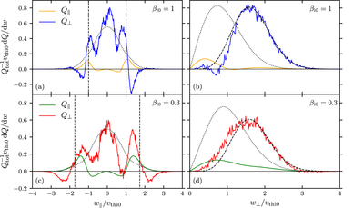
Caption: Figure 5.

Differential parallel (﹩{{dQ}}_{\parallel }/{dw}﹩) and perpendicular (﹩{{dQ}}_{\perp }/{dw}﹩) particle-energization rates as functions of parallel (w) and perpendicular (w) particle thermal velocity for (a), (b) ﹩{\beta }_{{\rm{i}}0}=1﹩ and (c), (d) ﹩{\beta }_{{\rm{i}}0}=0.3﹩. Rates are normalized to the total (parallel + perpendicular) energization rate. Dotted lines are ﹩\langle {f}_{{\rm{i}}}({w}_{\parallel })\rangle ﹩ and ﹩\langle {f}_{{\rm{i}}}({w}_{\perp })\rangle ﹩. Vertical dotted lines denote ﹩{v}_{{\rm{A}}0}﹩. The dashed lines in (b) and (c) are ﹩{({w}_{\perp }/{v}_{\mathrm{thi}0})}^{5}\exp (-{w}_{\perp }^{2}/{v}_{\mathrm{thi}0}^{2})﹩, a reasonable fit to the data. In all panels, “∥” and “⊥” are measured with respect to the magnetic field at the location of each particle.

Other Images in This Article
Copyright and Terms & Conditions