Image Details

Choose export citation format:

Linear Polarization Variations and Circular Polarization Are Common among Airless Bodies

  • Authors: Sloane J. Wiktorowicz, Amanda J. Bayless, Larissa A. Nofi

Sloane J. Wiktorowicz et al 2026 The Planetary Science Journal 7 .

  • Provider: AAS Journals

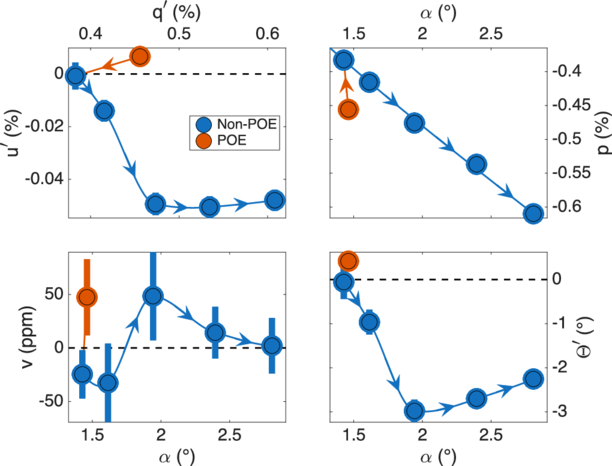
Caption: Figure 11.

Lick 3 m POLISH2 observations during UT 2018 September 18−23 that may indicate the POE in (30) Urania. The first night of the run is during the possible POE (red point, UT 2018 September 18), and data from successive nights are joined in each panel by curves and arrowheads to show temporal evolution. Some arrowheads are missing for clarity. Top left: nightly linear polarization Stokes ﹩{u}^{{\prime} }﹩ vs. ﹩{q}^{{\prime} }﹩, rotated to the frame perpendicular to the scattering plane, where data obtained during the night of the possible POE (red point) are inconsistent with the interpolated ﹩({q}^{{\prime} },{u}^{{\prime} })﹩ trend (blue curve via Matlab makima) with 11σ confidence. Uncertainties are generally smaller than the size of the data points. Top right: fractional linear polarization p as a function of α, where data outside the possible POE location (blue points and curve) are fit to the exponential−linear model p(α) = A(eα/B − 1) +  (K. Muinonen et al. 2009). Bottom left: fractional circular polarization v as a function of α. No significant circular polarimetric manifestation of the possible POE is observed. Bottom right: polarization orientation ﹩{{\rm{\Theta }}}^{{\prime} }﹩ as a function of α. A slight excursion of ﹩{{\rm{\Theta }}}^{{\prime} }\gt 0^\circ ﹩ is observed during the night of the possible POE, followed by significant ﹩{{\rm{\Theta }}}^{{\prime} }\lt 0^\circ ﹩ for α > 1﹩\mathop{.}\limits^{\unicode{x000b0}}﹩5, though this positive excursion is only inconsistent with ﹩{{\rm{\Theta }}}^{{\prime} }=0^\circ ﹩ with 2.0σ confidence.

Other Images in This Article
Copyright and Terms & Conditions

Additional terms of reuse