Image Details

Choose export citation format:

Thermal and Dielectric Properties of Juno’s Regolith at One Millimeter Wavelength

  • Authors: Jian-Yang Li, 荐扬 李, Timothy N. Titus, Arielle Moullet, Henry H. Hsieh

Jian-Yang Li et al 2026 The Planetary Science Journal 7 .

  • Provider: AAS Journals

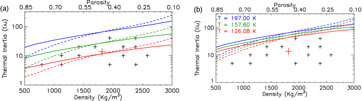
Caption: Figure 5.

Minimum thermal inertia allowed by the B. Gundlach & J. Blum (2013) model (solid line) and the N. Sakatani et al. (2017) model (dashed line) with respect to density (lower axis), which represents porosity (top axis), using the S-type asteroid material parameters. (a) Blue: thermal conductivity k = 4.05 W (m K)−1; green: k = 0.405 W (m K)−1; red: k = 0.0405 W (m K)−1. The grain density is assumed to be 3.3 × 103 kg m−3. (b) The colors represent three surface temperatures to test the sensitivity of the thermal inertia model with respect to temperature. A thermal conductivity of k = 4.05 W (m W)−1 is used in this panel, corresponding to the blue curves in panel (a). Below the curves is the region not allowed by models. The small black pluses in both panels mark the top 19 best-fit values (see the text), and the red plus indicates the weighted average values. Most fitted thermal inertia values are lower than the model allowed, unless the material has a low thermal conductivity.

Other Images in This Article
Copyright and Terms & Conditions

Additional terms of reuse