Image Details

Choose export citation format:

Thermal and Dielectric Properties of Juno’s Regolith at One Millimeter Wavelength

  • Authors: Jian-Yang Li, 荐扬 李, Timothy N. Titus, Arielle Moullet, Henry H. Hsieh

Jian-Yang Li et al 2026 The Planetary Science Journal 7 .

  • Provider: AAS Journals

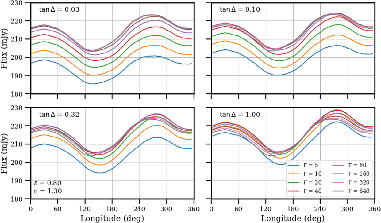
Caption: Figure 1.

Model lightcurves of Juno with various thermal inertias as listed in the legend and different loss tangents for each panel. The emissivity and index of refraction are fixed to the values marked in the lower-left panel. The overall shape of lightcurves is dominated by the shape of Juno, whereas the absolute temperature scale, the amplitude, and the longitudes of extrema of the lightcurves depend on the thermal and dielectric parameters.

Other Images in This Article
Copyright and Terms & Conditions

Additional terms of reuse