Image Details

Choose export citation format:

Energy and Mass Transport Associated with Impulsive Spicular Flows in Solar Coronal Holes

  • Authors: Lei Ni, Jun Lin, Tanmoy Samanta, Guanchong Cheng, Yifu Wang, Robert Erdélyi

Lei Ni et al 2026 The Astrophysical Journal Letters 1000 .

  • Provider: AAS Journals

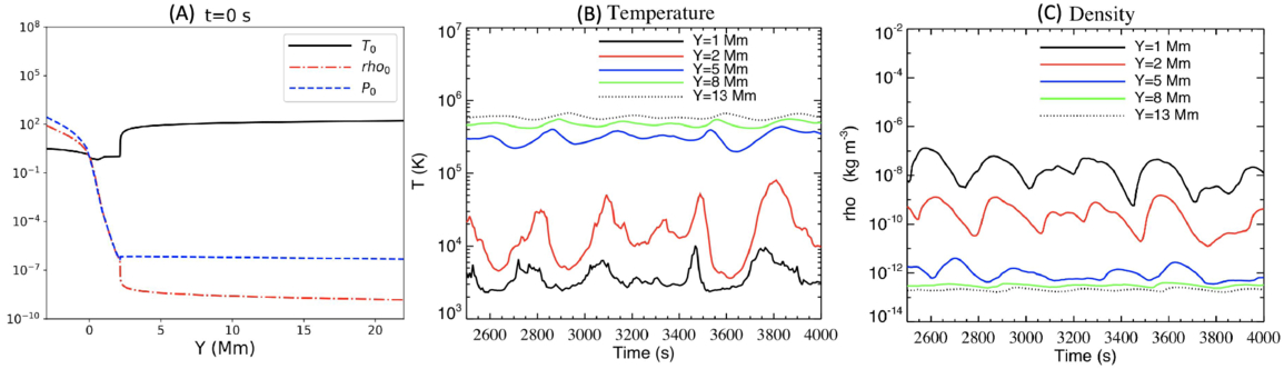
Caption: Figure 3.

The distributions of plasma parameters at different altitudes. Panel (A) shows the distributions of initial temperature, density​​, and pressure along the Y-direction, and they are normalized by using the reference values (T0 = 6530 K, rho0 = 2.734−4 kg m−3 and P0 = 11820 N m−2 ) at the bottom of the photosphere. The evolutions of temperature and density at different altitudes are presented in panels (B) and (D), and these values are the averaged ones in the X-direction.

Other Images in This Article

Show More

Copyright and Terms & Conditions

Additional terms of reuse