Image Details

Choose export citation format:

Detecting Population III Stars through Tidal Disruption Events in the Era of JWST and Roman

  • Authors: Rudrani Kar Chowdhury, Janet N. Y. Chang, Lixin Dai, Priyamvada Natarajan

Rudrani Kar Chowdhury et al 2024 The Astrophysical Journal Letters 966 .

  • Provider: AAS Journals

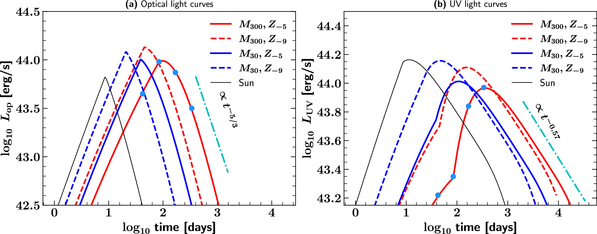
Caption: Figure 7.

Optical (left) and UV (right) light curves of the Pop III star TDEs around a MBH with M BH = 106 M in comparison to that that of a solar-type star. The color and line styles for different stars are the same as in Figure 3. For the fiducial Pop III star TDE model (the red solid curve), we mark the four epochs used in Figure 6(a) (i.e., t edge/2, t edge, 2× t edge, and 4× t edge) using light blue dots. The late-time light curves are fitted with power-law functions that are plotted using cyan dotted–dashed lines. We see that the Pop III star TDEs have much longer rise and decay timescales compared to standard TDEs of normal stars. Furthermore, for a Pop III star TDE, while its optical light curves follow the debris fallback rate relatively closely and peaks around t edge, its UV light curve peaks at a later time and decays much more slowly due to the temperature evolution of the flare.

Other Images in This Article

Show More

Copyright and Terms & Conditions

Additional terms of reuse