Image Details

Choose export citation format:

Detecting Population III Stars through Tidal Disruption Events in the Era of JWST and Roman

  • Authors: Rudrani Kar Chowdhury, Janet N. Y. Chang, Lixin Dai, Priyamvada Natarajan

Rudrani Kar Chowdhury et al 2024 The Astrophysical Journal Letters 966 .

  • Provider: AAS Journals

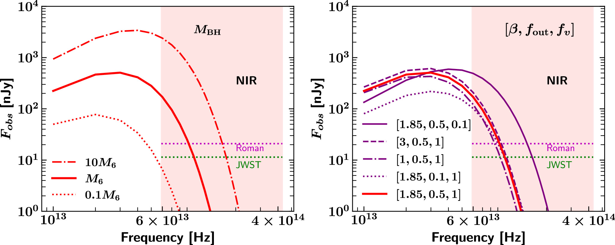
Caption: Figure 9.

The dependence of the observed flux at t = t edge on other parameters, such as the MBH mass (M BH), penetration factor (β), mass outflow fraction (f out), and wind velocity (f v ). Here we stick to the fiducial model of a Pop III star with M = 300M , Z = 10−5. The shaded regions, magenta and green dotted lines are the same as in Figure 8.

Other Images in This Article

Show More

Copyright and Terms & Conditions

Additional terms of reuse