Image Details

Choose export citation format:

Detecting Population III Stars through Tidal Disruption Events in the Era of JWST and Roman

  • Authors: Rudrani Kar Chowdhury, Janet N. Y. Chang, Lixin Dai, Priyamvada Natarajan

Rudrani Kar Chowdhury et al 2024 The Astrophysical Journal Letters 966 .

  • Provider: AAS Journals

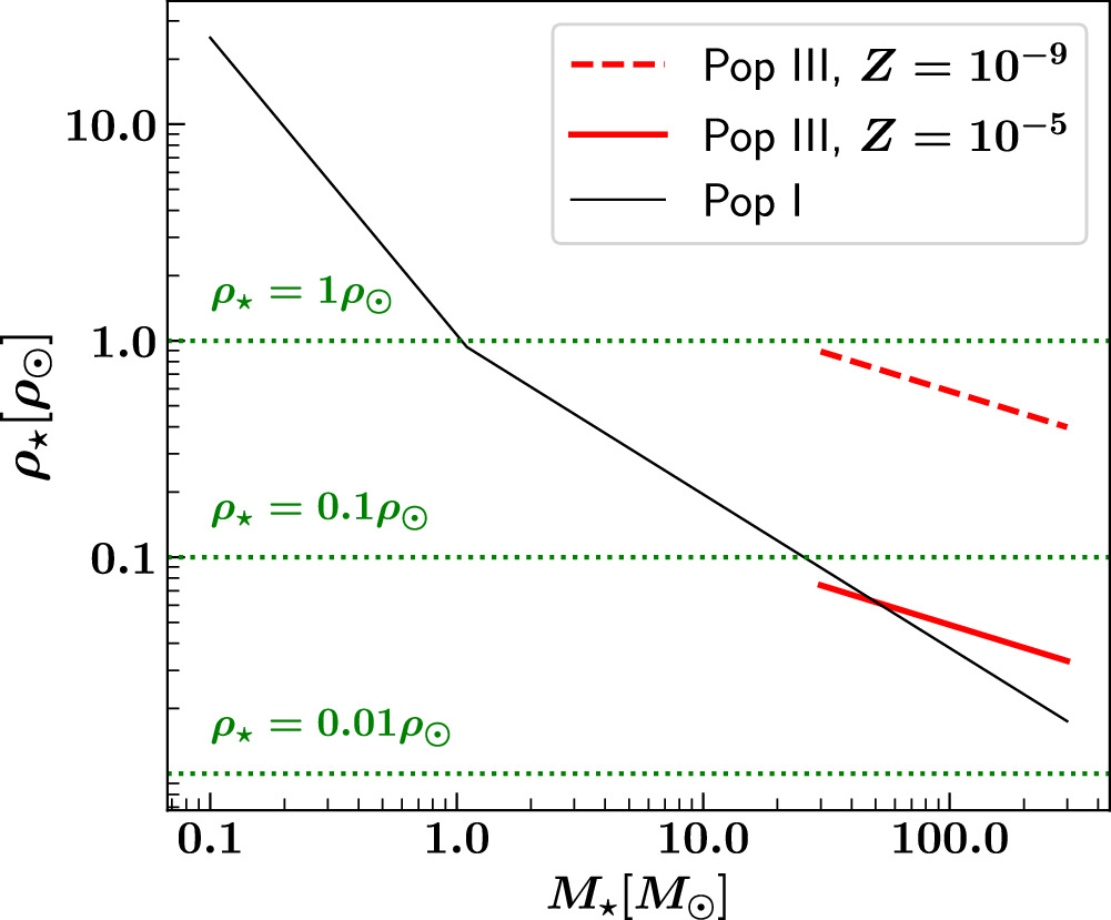
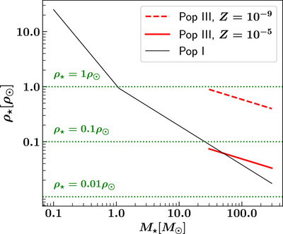
Caption: Figure 1.

Average density (ρ ) of Pop III stars with Z = 10−5 (red solid line) and Z = 10−9 (red dashed line) in the mass range of 30–300M compared to Pop I stars (black solid line) in the mass range of 0.1–300M . All stars are in their main-sequence stages. Pop III stars typically have ρ ∼ 0.01–1 ρ and those with lower metallicities or lower masses are denser. The stellar density of 1ρ , 0.1ρ , and 0.01ρ are marked with green dotted lines.

Other Images in This Article

Show More

Copyright and Terms & Conditions

Additional terms of reuse