Image Details

Choose export citation format:

Detecting Population III Stars through Tidal Disruption Events in the Era of JWST and Roman

  • Authors: Rudrani Kar Chowdhury, Janet N. Y. Chang, Lixin Dai, Priyamvada Natarajan

Rudrani Kar Chowdhury et al 2024 The Astrophysical Journal Letters 966 .

  • Provider: AAS Journals

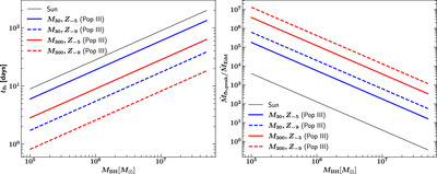
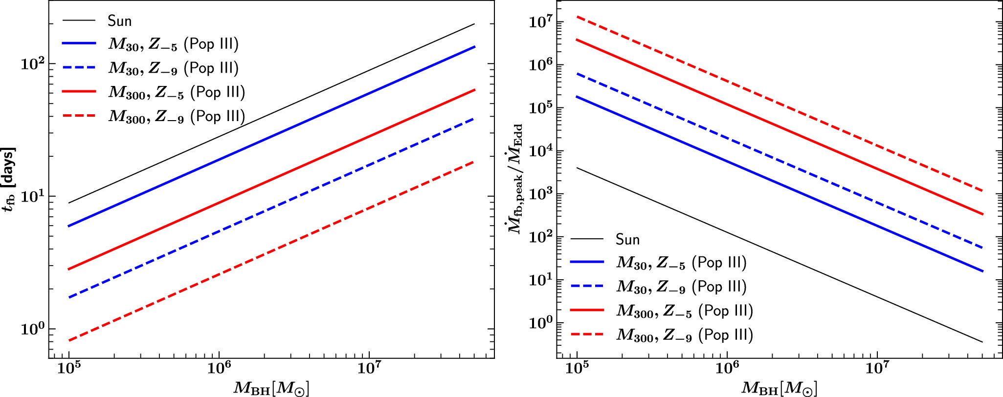
Caption: Figure 3.

Left panel: debris mass fallback time t fb for tidal disruption of 300M (M 300, red) and 30M (M 30, blue) Pop III stars with Z = 10−5 (Z −5, solid lines) and Z = 10−9 (Z −9, dashed lines) compared to a regular 1M star (black solid line). Right panel: Eddington ratio of the peak debris mass fallback rate ﹩{\dot{M}}_{\mathrm{fb},\mathrm{peak}}﹩ for the same stars as in the left panel. Pop III stars have shorter fallback times and much higher peak mass fallback rates compared to Pop I star TDEs.

Other Images in This Article

Show More

Copyright and Terms & Conditions

Additional terms of reuse