Image Details

Choose export citation format:

Bursts before Burst: A Comparative Study on FRB 200428-associated and FRB-absent X-Ray Bursts from SGR J1935+2154

  • Authors: Yu-Han Yang, Bin-Bin Zhang, Lin Lin, Bing Zhang, Guo-Qiang Zhang, Yi-Si Yang, Zuo-Lin Tu, Jin-Hang Zou, Hao-Yang Ye, Fa-Yin Wang, and Zi-Gao Dai

2021 The Astrophysical Journal Letters 906 L12.

  • Provider: AAS Journals

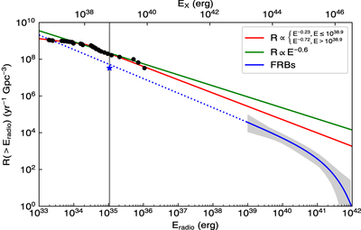
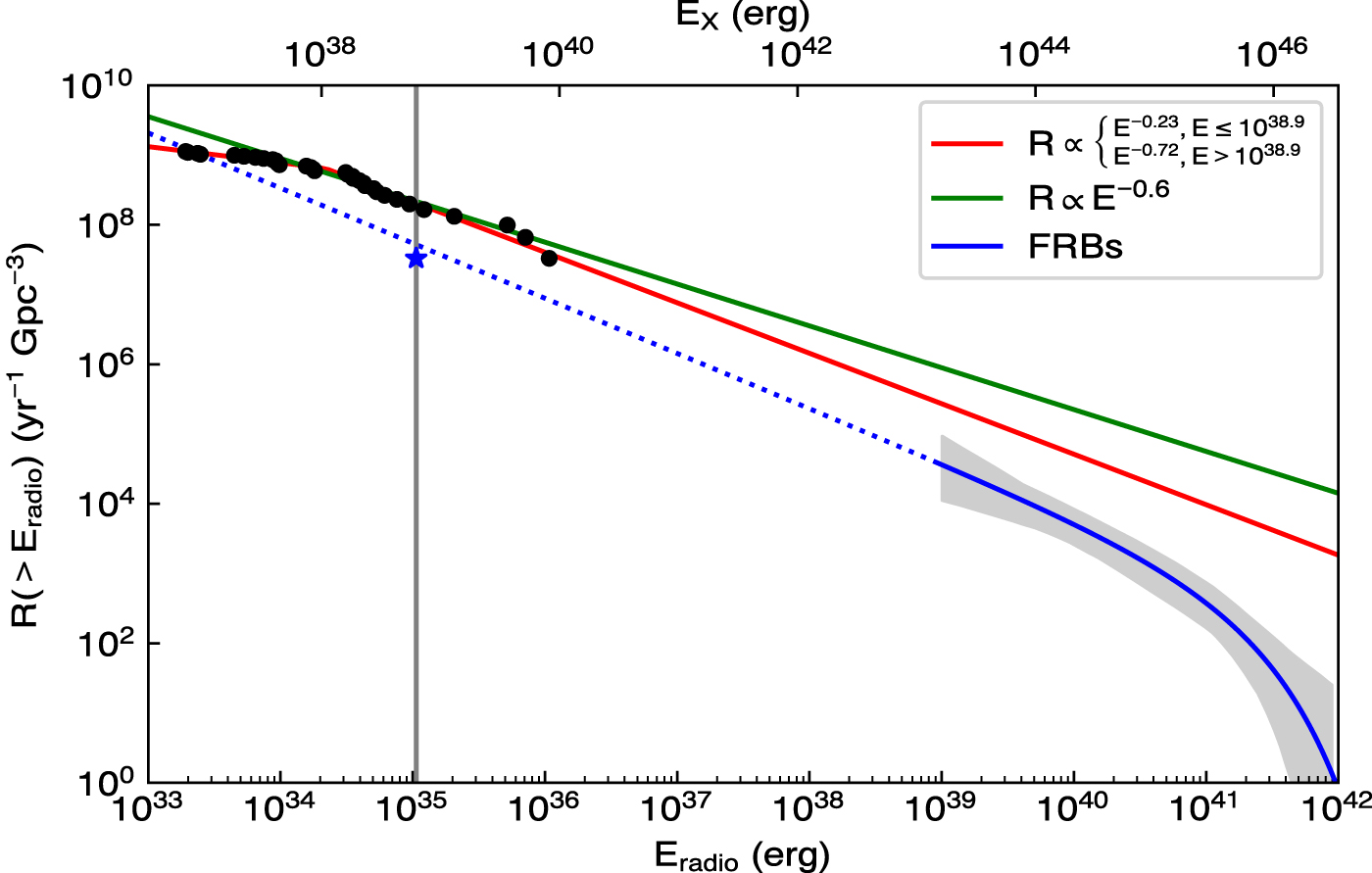
Caption: Figure 8.

Energy-dependent event rate densities of magnetar X-ray bursts and FRBs. Black circles represent the cumulative energy distribution of our sample scaled to the whole magnetar population. The red line shows its best-fitted broken PL model. The green line is the rate density of giant flares derived from Beniamini et al. (2019). The event rate density of FRBs (Luo et al. 2020) and its extrapolation is shown by the blue solid and dotted line. The gray shaded area represents the 2σ confidence region. The blue star is the event rate density inferred from FRB 200428.

Other Images in This Article
Copyright and Terms & Conditions