Image Details

Choose export citation format:

Bursts before Burst: A Comparative Study on FRB 200428-associated and FRB-absent X-Ray Bursts from SGR J1935+2154

  • Authors: Yu-Han Yang, Bin-Bin Zhang, Lin Lin, Bing Zhang, Guo-Qiang Zhang, Yi-Si Yang, Zuo-Lin Tu, Jin-Hang Zou, Hao-Yang Ye, Fa-Yin Wang, and Zi-Gao Dai

2021 The Astrophysical Journal Letters 906 L12.

  • Provider: AAS Journals

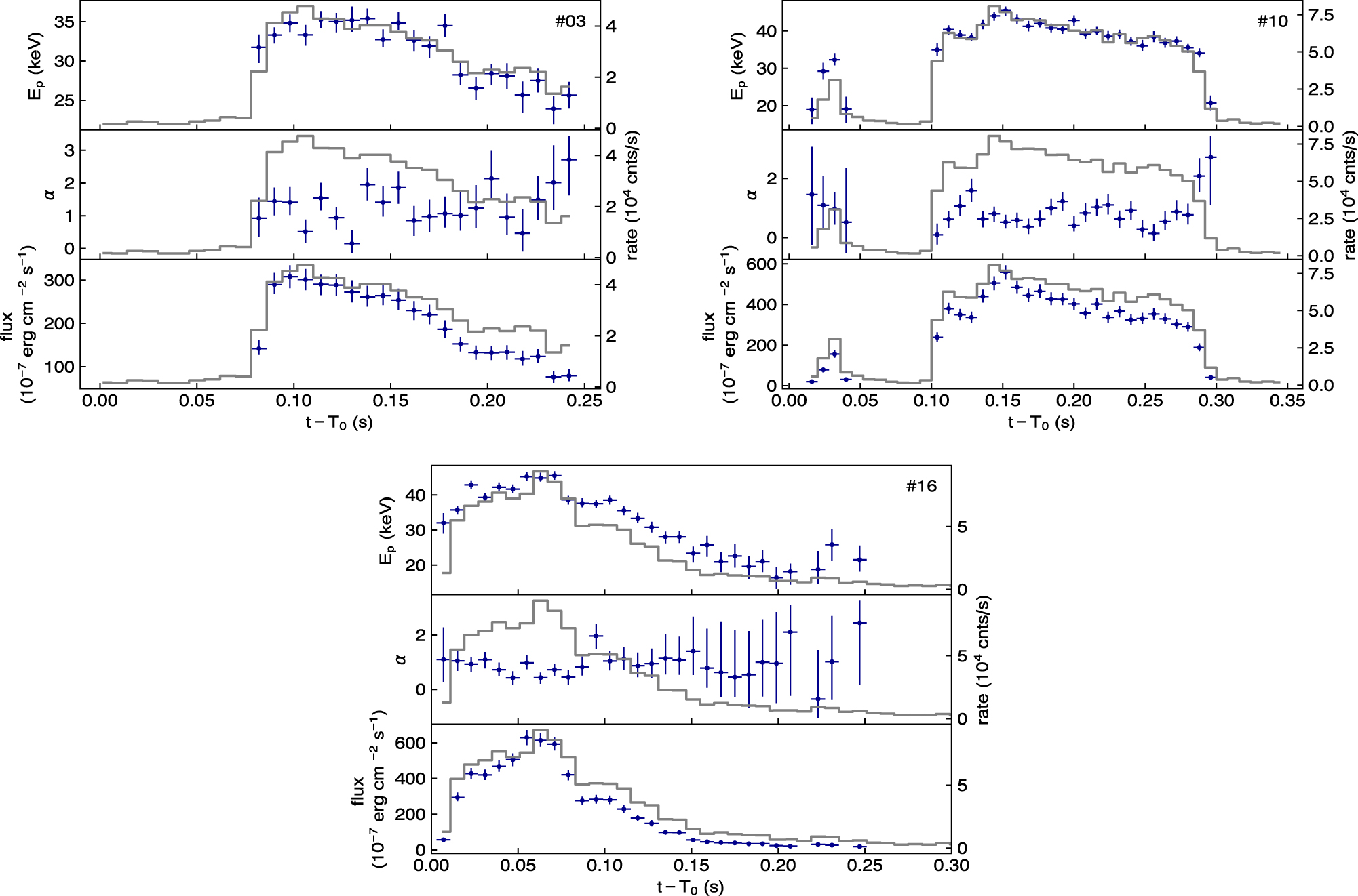
Caption: Figure 5.

Spectral evolution of the top three brightest bursts. The CPL parameters, Ep, α, and the derived flux are plotted on top of the light curves.

Other Images in This Article
Copyright and Terms & Conditions