Image Details

Choose export citation format:

Does Matter Matter? Using the Mass Distribution to Distinguish Neutron Stars and Black Holes

  • Authors: Maya Fishbach, Reed Essick, and Daniel E. Holz

2020 The Astrophysical Journal Letters 899 L8.

  • Provider: AAS Journals

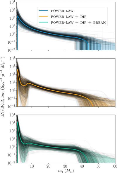
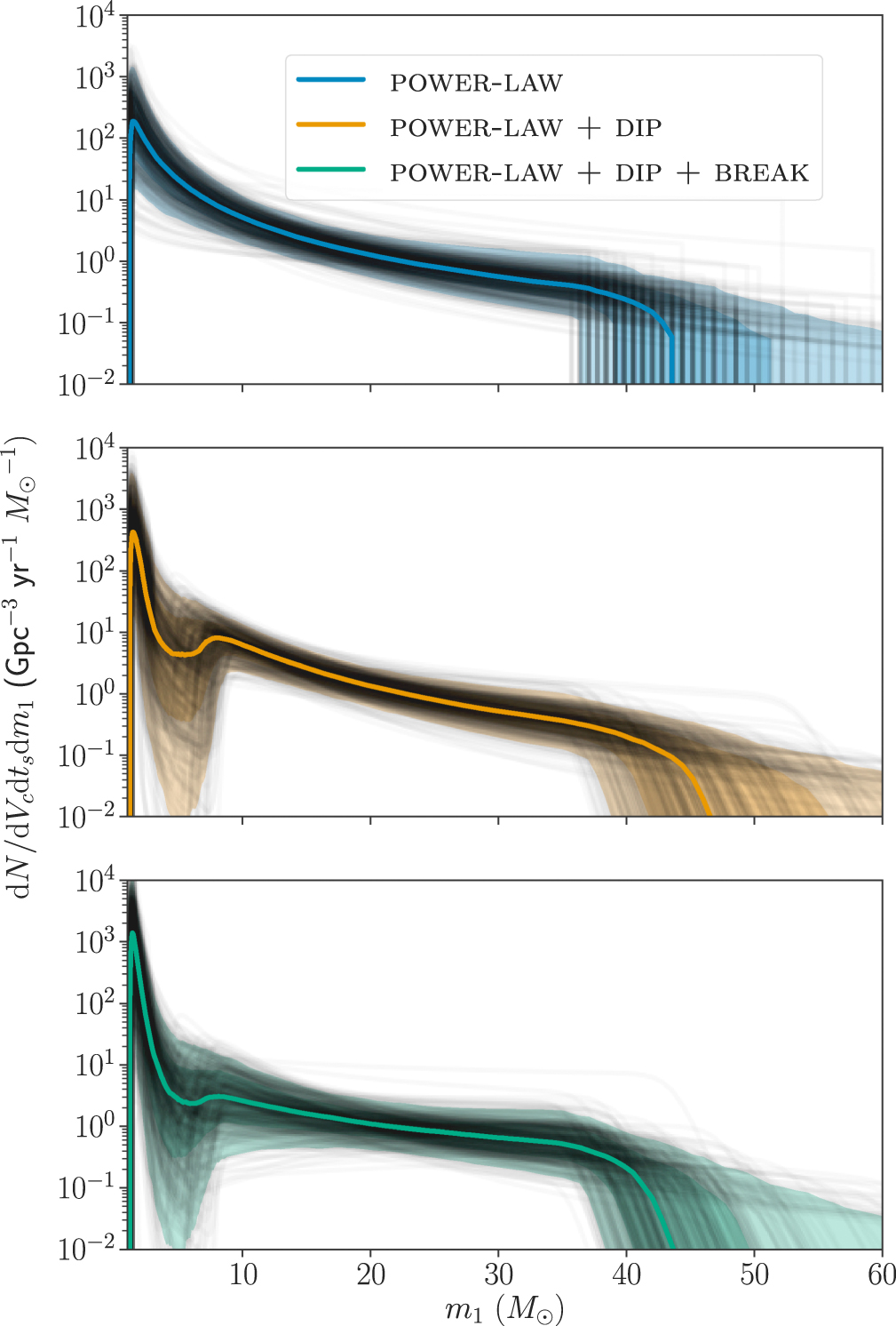
Caption: Figure 3.

Posterior population distributions for three models, in order of increasing complexity: POWER LAW, POWER LAW + DIP, and POWER LAW + DIP + BREAK. Each panel shows the differential merger rate density, ﹩{dN}/{{dV}}_{c}{{dt}}_{s}{{dm}}_{1}﹩, as a function of primary mass m1. The colored lines show the median rate density, and the colored shaded bands show 1σ (68%) and 2σ (95%) credible intervals. In gray, we plot 500 draws from the population posterior under each model.

Other Images in This Article
Copyright and Terms & Conditions