Image Details

Choose export citation format:

Does Matter Matter? Using the Mass Distribution to Distinguish Neutron Stars and Black Holes

  • Authors: Maya Fishbach, Reed Essick, and Daniel E. Holz

2020 The Astrophysical Journal Letters 899 L8.

  • Provider: AAS Journals

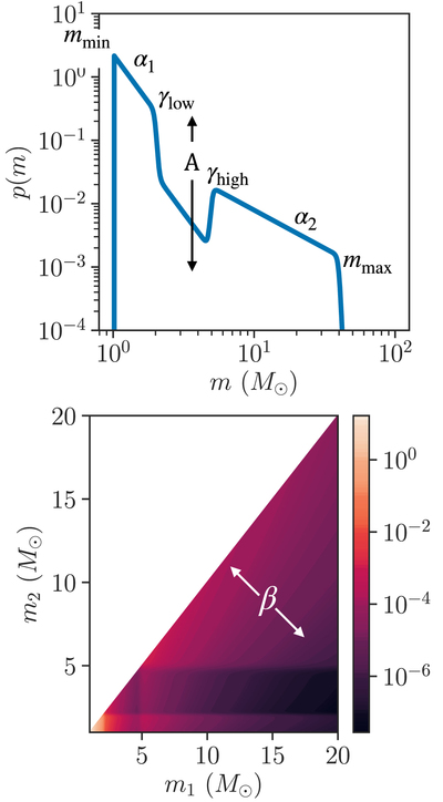
Caption: Figure 1.

Example phenomenological distribution described in Section 2.1. Top: one-dimensional mass distribution parameterized according to Equation (5): a broken power law with slopes α1 and α2 and break at γhigh, with a notch filter between γlow and γhigh with amplitude A. Bottom: corresponding two-dimensional distribution, constructed from the one-dimensional distribution with a mass ratio–dependent pairing function following Equation (6). The color bar denotes the probability density p(m1, m2).

Other Images in This Article
Copyright and Terms & Conditions