Image Details

Choose export citation format:

Oblique Shocks at Supernova Remnants in Massive Star Clusters: A Model for the Cosmic-Ray Knee Observed by LHAASO

  • Authors: Luana N. Padilha, R. C. Dos Anjos

Luana N. Padilha and R. C. Dos Anjos 2026 The Astrophysical Journal 1002 .

  • Provider: AAS Journals

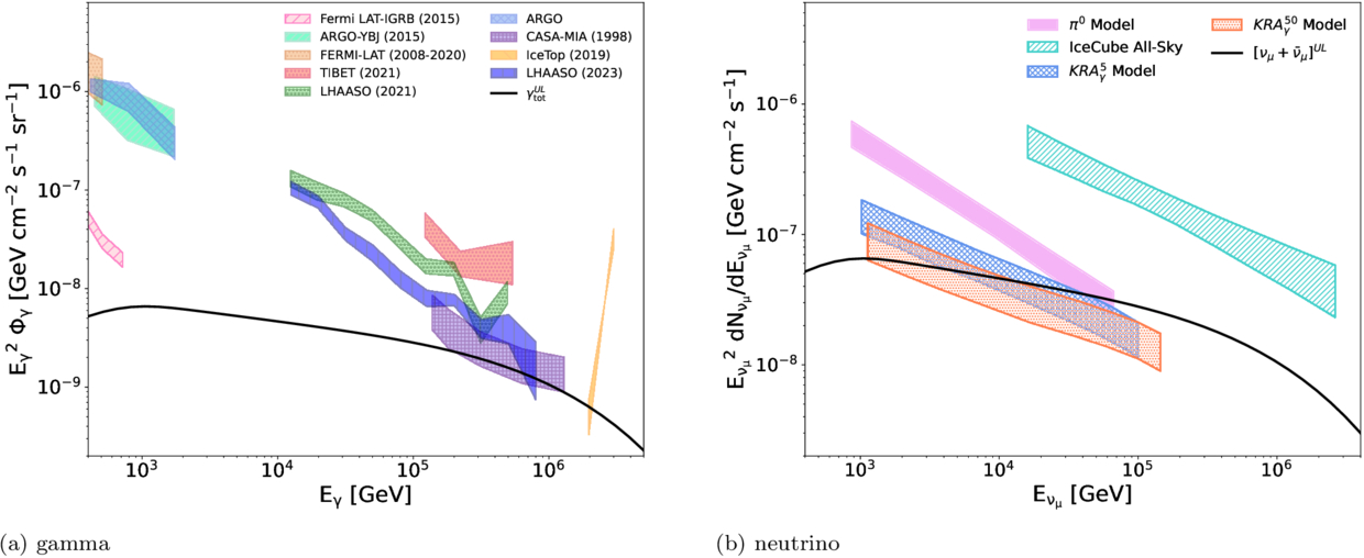
Caption: Figure 7.

(a) Contribution from MSCs to gamma-ray emission, compared with observations of the diffuse Galactic gamma-ray emission (A. Borione et al. 1998; M. Amenomori et al. 2009, 2021; M. Ackermann et al. 2015; B. Bartoli et al. 2015; M. G. Aartsen et al. 2017; D. Grasso et al. 2017; Z. Cao et al. 2023; P. De La Torre Luque et al. 2023). (b) Muon neutrino flux from the combined contribution of the powerful and soft MSCs, compared with predictions of the diffuse Galactic neutrino flux and the IceCube sensitivity to neutrinos from the Galactic plane (IceCube Collaboration et al. 2020). The KRA γ models provide neutrino flux predictions based on gamma-ray data, assuming cutoff energies of 5 and 50 PeV (Icecube Collaboration et al. 2023). The π 0 model uses low-energy gamma-ray observations to estimate the neutrino flux, assuming that the same physical process produces both particles, with a smooth decay and no strong cutoffs (Icecube Collaboration et al. 2023).

Other Images in This Article
Copyright and Terms & Conditions

Additional terms of reuse