Image Details

Choose export citation format:

Oblique Shocks at Supernova Remnants in Massive Star Clusters: A Model for the Cosmic-Ray Knee Observed by LHAASO

  • Authors: Luana N. Padilha, R. C. Dos Anjos

Luana N. Padilha and R. C. Dos Anjos 2026 The Astrophysical Journal 1002 .

  • Provider: AAS Journals

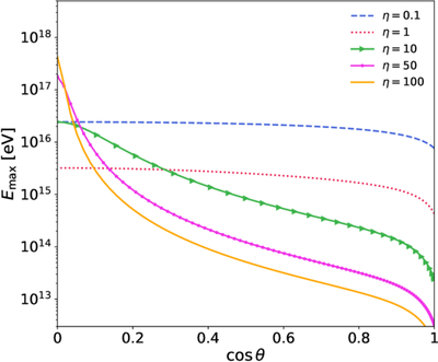
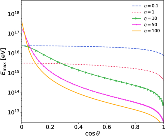
Caption: Figure 3.

Maximum energy ﹩{E}_{{\rm{\max }}}﹩ as a function of the obliquity, shown as ﹩\cos \theta ﹩. Curves are computed from Equation (5) using the diffusion coefficients in Equation (4) at fixed shock and environmental parameters (see Section 3.1.2). As η increases, diffusion becomes strongly anisotropic and ﹩{E}_{{\rm{\max }}}﹩ rises toward more perpendicular shocks, reflecting faster acceleration due to reduced effective cross-field transport; in the limit η ≪ 1 the angle dependence weakens and the curves flatten.

Other Images in This Article
Copyright and Terms & Conditions

Additional terms of reuse