Image Details

Choose export citation format:

Oblique Shocks at Supernova Remnants in Massive Star Clusters: A Model for the Cosmic-Ray Knee Observed by LHAASO

  • Authors: Luana N. Padilha, R. C. Dos Anjos

Luana N. Padilha and R. C. Dos Anjos 2026 The Astrophysical Journal 1002 .

  • Provider: AAS Journals

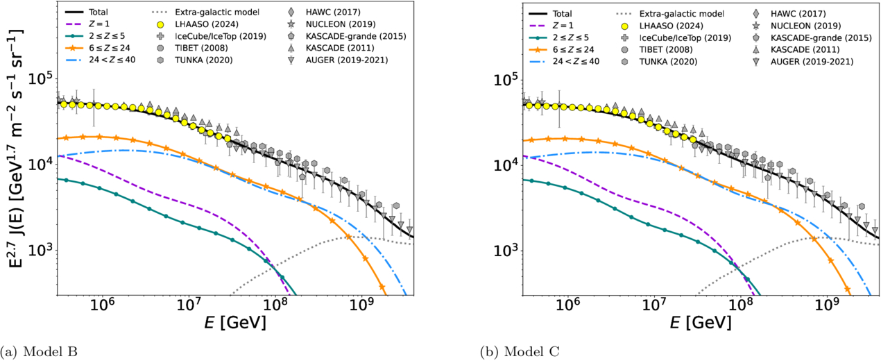
Caption: Figure 5.

Spectral composition for Models B and C. Each panel shows the total all-particle energy flux, along with the contributions from four charge groups: protons (Z = 1), light nuclei (2 ≤ Z ≤ 5), intermediate nuclei (6 ≤ Z ≤ 24), and heavy nuclei (24 < Z ≤ 40). Solid curves give the model prediction for each group and their sum. Extragalactic component (gray dotted line) from S. Thoudam et al. (2016; EG-RSB93), consisting of pure protons with an E −2 injection spectrum and an exponential cutoff at 1011 GeV. Data are from LHAASO (Z. Cao et al. 2024), the Pierre Auger Observatory (V. Verzi 2019; P. Abreu et al. 2021), KASCADE-Grande (M. Bertaina et al. 2015), IceCube/IceTop (M. G. Aartsen et al. 2019), Tibet ASγ (M. G. Aartsen et al. 2019), Tunka (N. M. Budnev et al. 2020), HAWC (R. Alfaro et al. 2017), NUCLEON (R. Alfaro et al. 2017), and KASCADE (C. Evoli 2020). Model definitions and parameters are given in Sections 3.2–3.1.2 and Tables 1–3.

Other Images in This Article
Copyright and Terms & Conditions

Additional terms of reuse