Image Details

Choose export citation format:

CHANG-ES. XXXVIII. A Thin Radio Halo Shaped by Slow Cosmic-Ray Transport in the Quiescent Galaxy NGC 4565

  • Authors: Jianghui Xu, Jiang-Tao Li, Guilin Liu, Luan Luan, Volker Heesen, Rainer Beck, Judith Irwin, Q. Daniel Wang, Michael Stein, Li-Yuan Lu, Yang Yang, Jeroen Stil, Jayanne English, Ralf-Jürgen Dettmar

Jianghui Xu et al 2026 The Astrophysical Journal 1001 .

  • Provider: AAS Journals

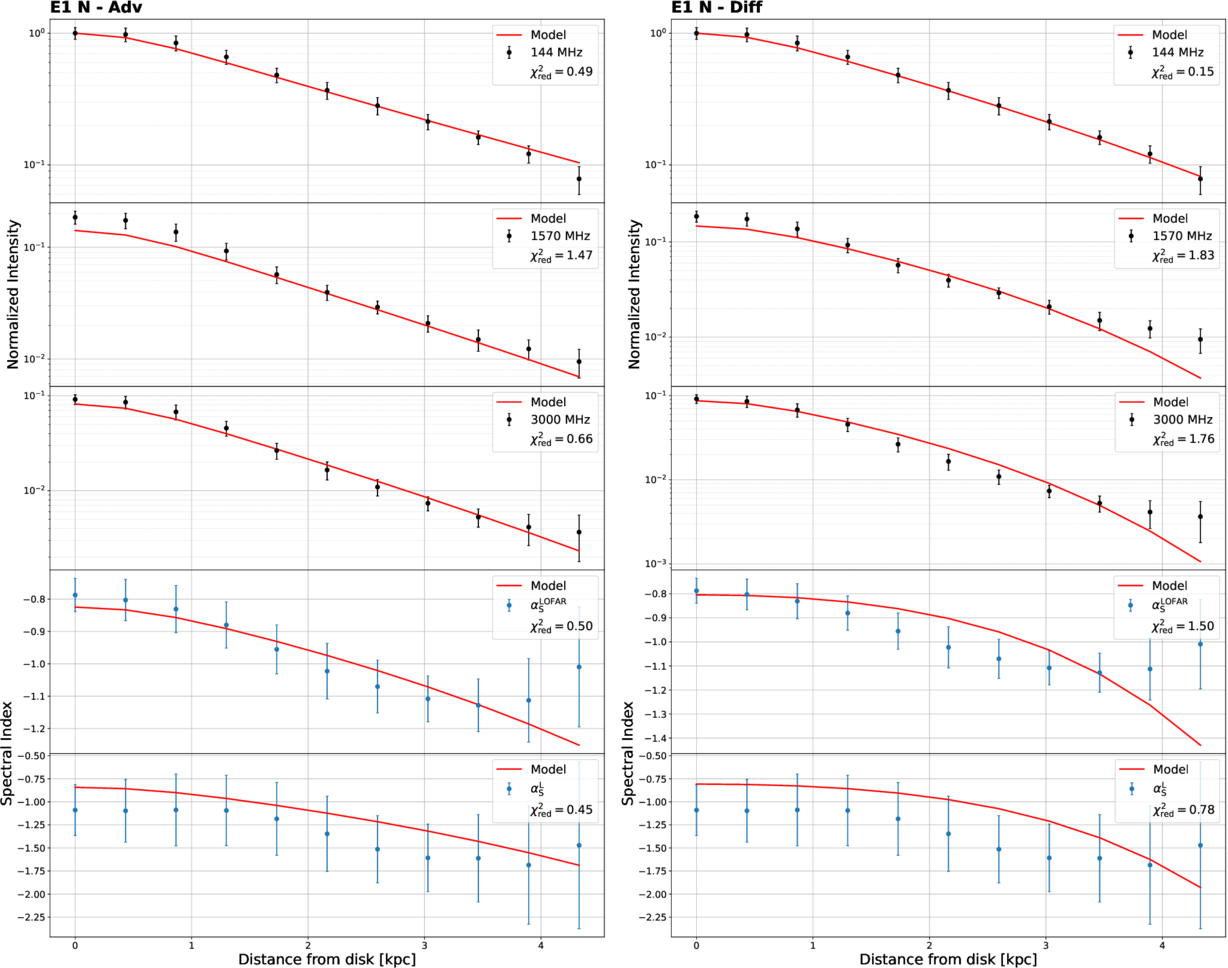
Caption: Figure 8.

Best-fit advection (left panels) and diffusion (right panels) models in the northern part of strip E1. From top to bottom, the panels depict the SPINNAKER fits to the nonthermal LOFAR 144 MHz intensities, VLA L-band 1.57 GHz intensities, VLA S-band 3.0 GHz intensities, and the nonthermal spectral indices ﹩{\alpha }_{S}^{{\rm{LOFAR}}}﹩ and ﹩{\alpha }_{S}^{L}﹩. The red lines represent the best-fit models. The relevant parameters are listed in Table 3.

Other Images in This Article
Copyright and Terms & Conditions

Additional terms of reuse