Image Details

Choose export citation format:

The Baryonic Mass–Halo Mass Relation of Extragalactic Systems

  • Authors: Stacy S. McGaugh, Tobias Mistele, Francis Duey, Konstantin Haubner, Federico Lelli, James M. Schombert, Pengfei Li

Stacy S. McGaugh et al 2026 The Astrophysical Journal 1001 .

  • Provider: AAS Journals

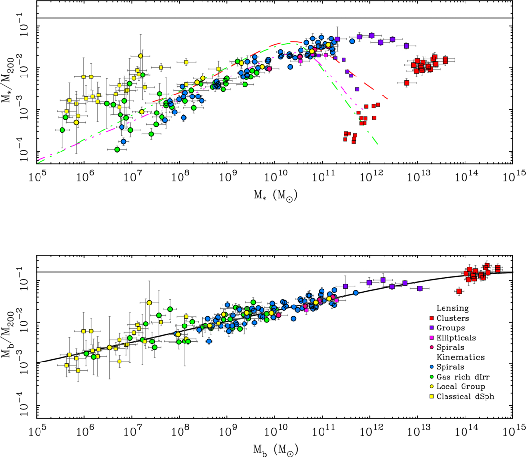
Caption: Figure 4.

The stellar mass fraction as a function of stellar mass (top) and the baryonic mass fraction as a function of baryonic mass (bottom). Data and symbols as in Figure 3 with the additional distinction that large squares in the top panel represent the sum of the stellar mass of all galaxies in a group or cluster while small squares are the stellar mass of the brightest galaxy only. The horizontal line is the cosmic baryon fraction fb = 0.157 (Planck Collaboration et al. 2020). The colored lines in the top panels show the stellar mass–halo mass relations from abundance matching given by B. P. Moster et al. (2013; dashed–dotted green line), P. S. Behroozi et al. (2013; dashed–triple dotted pink line), and A. V. Kravtsov et al. (2018; red dashed line). The black line in the lower panel is Equation (12).

Other Images in This Article
Copyright and Terms & Conditions

Additional terms of reuse