Image Details

Choose export citation format:

The Baryonic Mass–Halo Mass Relation of Extragalactic Systems

  • Authors: Stacy S. McGaugh, Tobias Mistele, Francis Duey, Konstantin Haubner, Federico Lelli, James M. Schombert, Pengfei Li

Stacy S. McGaugh et al 2026 The Astrophysical Journal 1001 .

  • Provider: AAS Journals

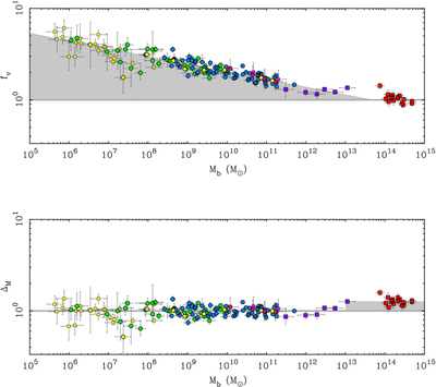
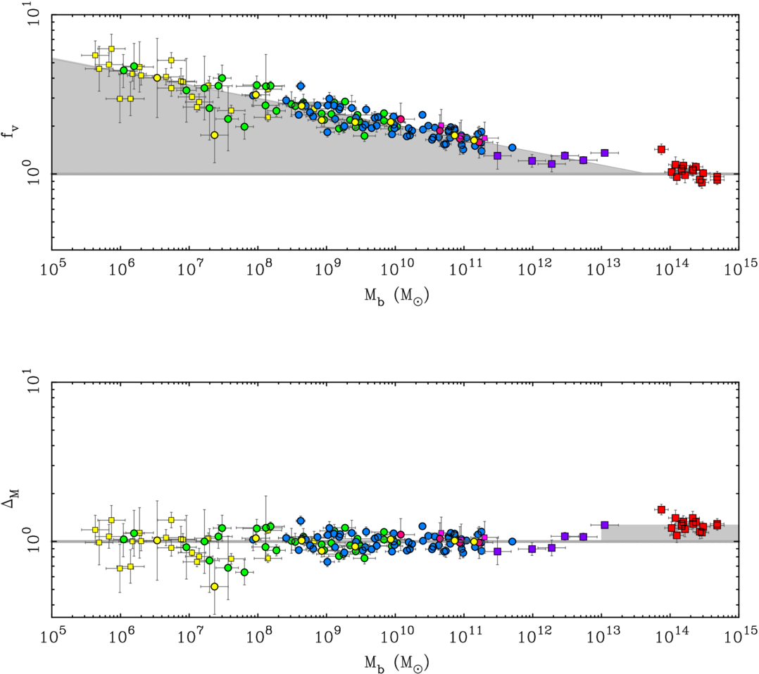
Caption: Figure 8.

The velocity factor in ΛCDM (top panel) and the residual velocity in MOND (bottom panel) as a function of baryonic mass. Data and symbols as in Figure 3. The gray region illustrates where each theory gets it wrong. In ΛCDM, rich clusters of galaxies behave as expected, but explaining other systems requires ﹩{f}_{v}\propto {M}_{b}^{-1/12}﹩ (Equation (15)). In MOND, we see the opposite effect: the observed baryons predict the correct velocity over the range 5 × 105Mb < 1013 M, but falls short for larger masses, explaining only ∼80% of the velocity in clusters.

Other Images in This Article
Copyright and Terms & Conditions

Additional terms of reuse