Image Details

Choose export citation format:

Tidal Disruption of a Magnetized Star

  • Authors: Pavel Abolmasov, Omer Bromberg, Amir Levinson, Ehud Nakar

Pavel Abolmasov et al 2026 The Astrophysical Journal 1001 .

  • Provider: AAS Journals

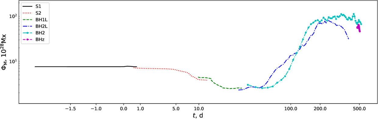
Caption: Figure 11.

One-sided magnetic field flux as a function of time. Different curves represent different simulation stages: S1 (black solid), S2 (red dotted), BH 1L (green dashed), BH 2L (blue dotted–dashed), BH 2 (teal dashed with thick dots), and BHz (thick solid magenta line).

Other Images in This Article

Show More

Copyright and Terms & Conditions

Additional terms of reuse