Image Details

Choose export citation format:

Evolution of Supernova Remnants in a Cloudy Multiphase Interstellar Medium

  • Authors: Minghao Guo, 明浩 郭, Chang-Goo Kim, James M. Stone

Minghao Guo et al 2025 The Astrophysical Journal 990 .

  • Provider: AAS Journals

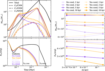
Caption: Figure 8.

Left: evolution of hot gas mass and contribution from different initial phases (top) and evolution of thermal energy of the SNR for different resolutions. Right: mass (top) and thermal energy (bottom) are functions of the cell size at different times. The hot gas is first mainly from the shock-heated CNM, then mainly from the WNM. Due to the significant cooling, the hot gas mass is smaller than in the uniform case. Higher resolution leads to a larger peak hot gas mass at a later time. Thermal conduction increases the hot gas mass by ∼30% between r sf,CNM and r sf,WNM. The is a change by a factor of ∼20% when doubling the resolution.

Other Images in This Article

Show More

Copyright and Terms & Conditions

Additional terms of reuse