Image Details

Choose export citation format:

Evolution of Supernova Remnants in a Cloudy Multiphase Interstellar Medium

  • Authors: Minghao Guo, 明浩 郭, Chang-Goo Kim, James M. Stone

Minghao Guo et al 2025 The Astrophysical Journal 990 .

  • Provider: AAS Journals

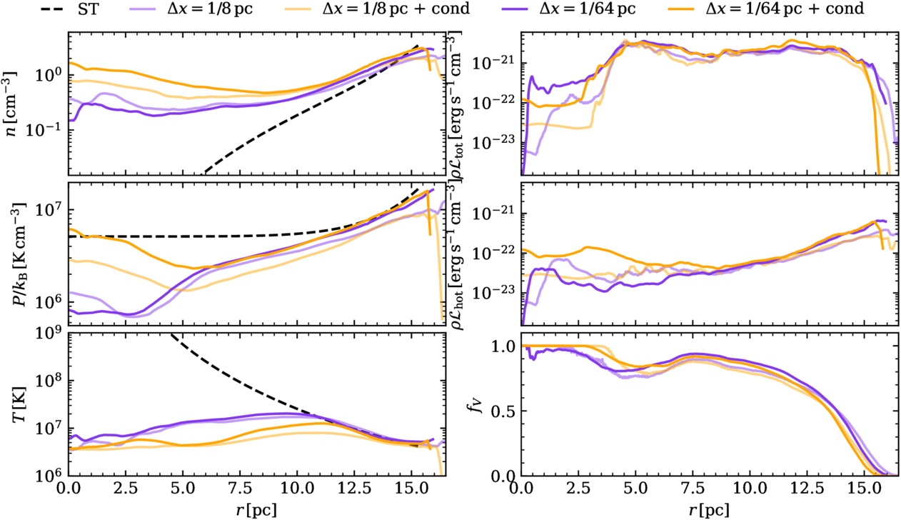
Caption: Figure 9.

Similar to Figure 6 but for two resolutions, Δx  =  1/8 pc and Δx  =  1/64 pc. The results are similar within a factor of ∼2, despite a factor of 8 difference in resolution. The models without conduction do not show a secular trend with resolution, while the models with conduction show systematically higher density, pressure, and cooling rates in most radii at higher resolution.

Other Images in This Article

Show More

Copyright and Terms & Conditions

Additional terms of reuse