Image Details

Choose export citation format:

Evolution of Supernova Remnants in a Cloudy Multiphase Interstellar Medium

  • Authors: Minghao Guo, 明浩 郭, Chang-Goo Kim, James M. Stone

Minghao Guo et al 2025 The Astrophysical Journal 990 .

  • Provider: AAS Journals

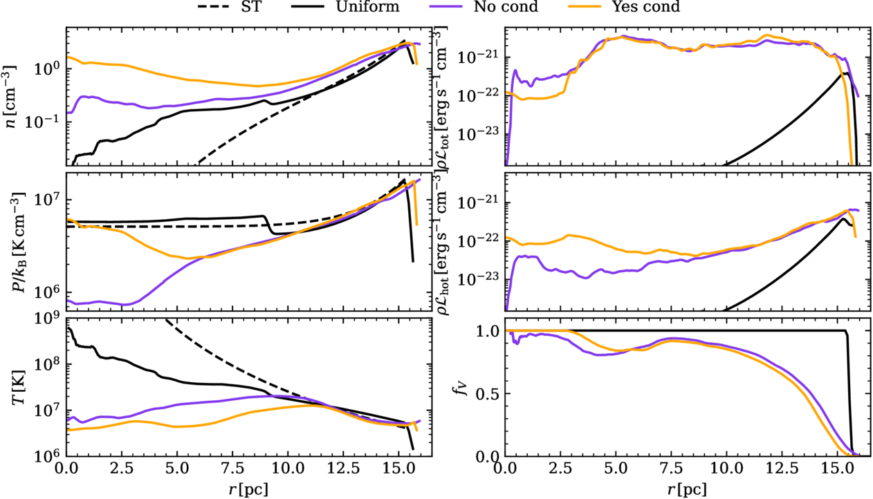
Caption: Figure 6.

Radial profiles of hot gas density (top left), hot gas pressure (middle left), hot gas temperature (bottom left), total cooling rate (top right), hot gas cooling rate (middle right), and hot gas volume fraction (bottom right) at 10 kyr. For comparison, the radial profiles for the uniform case (UN-1024) and the ST solution are shown in black solid and dashed lines. The inner region is filled with hot gas with a relatively higher density and lower pressure and thus temperature compared with the ST solutions. Thermal conduction significantly increases the density and decreases the temperature, but the total cooling rate is still similar. The profile of the total cooling rate is flat within the SNR, except in the inner region where all the cold clouds are swept out. The volume fraction of hot gas decreases from about 10 pc.

Other Images in This Article

Show More

Copyright and Terms & Conditions

Additional terms of reuse