Image Details

Choose export citation format:

Evolution of Supernova Remnants in a Cloudy Multiphase Interstellar Medium

  • Authors: Minghao Guo, 明浩 郭, Chang-Goo Kim, James M. Stone

Minghao Guo et al 2025 The Astrophysical Journal 990 .

  • Provider: AAS Journals

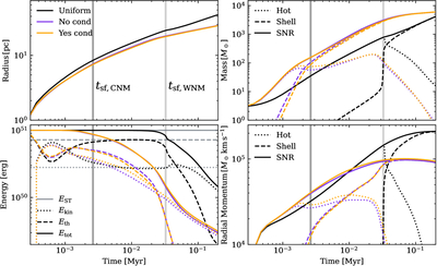
Caption: Figure 3.

Evolution of radius, mass, energy, and radial momentum of SNRs in the cloudy inhomogeneous background without (purple) and with (orange) thermal conduction. The evolution in the uniform medium is shown by black lines. The vertical light and dark gray lines in the background correspond to shell formation time for a uniform background with the density of the WNM and CNM, respectively. The evolution in the uniform medium essentially follows the analytical theory. The cloudy background significantly increases the mass of the shell and reduces the energy more rapidly, with less final momentum output. Thermal conduction makes little difference in the evolution of these global properties. Despite the considerable difference, the scaling of radius and mass between t sf,CNM and t sf,WNM is still similar to the analytical solutions.

Other Images in This Article

Show More

Copyright and Terms & Conditions

Additional terms of reuse