Image Details

Choose export citation format:

ALMA CO Observations of Gamma-Ray Supernova Remnant N132D in the Large Magellanic Cloud: Possible Evidence for Shocked Molecular Clouds Illuminated by Cosmic-Ray Protons

  • Authors: H. Sano, P. P. Plucinsky, A. Bamba, P. Sharda, M. D. Filipović, C. J. Law, R. Z. E. Alsaberi, Y. Yamane, K. Tokuda, F. Acero, M. Sasaki, J. Vink, T. Inoue, S. Inutsuka, J. Shimoda, K. Tsuge, K. Fujii, F. Voisin, N. Maxted, G. Rowell, T. Onishi, A. Kawamura, N. Mizuno, H. Yamamoto, K. Tachihara, and Y. Fukui

2020 The Astrophysical Journal 902 53.

  • Provider: AAS Journals

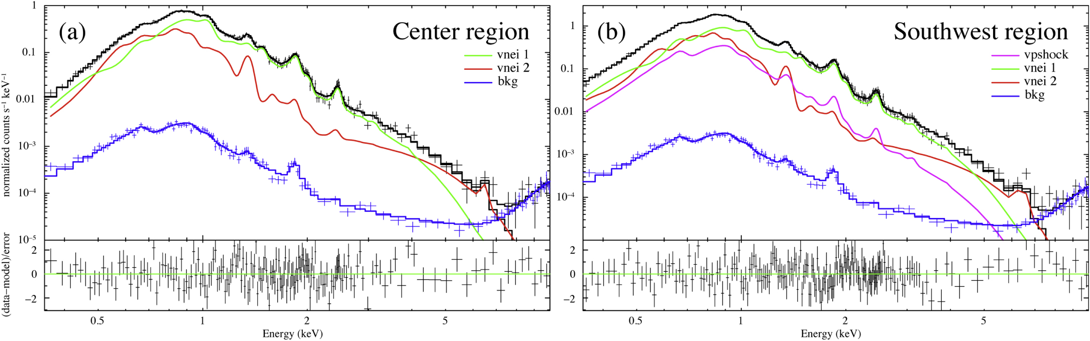
Caption: Figure 8.

(a) ACIS-S spectra of the center (cloud F) and southwest (reference), with the best-fit models shown in the top panels. The magenta, green, red, and blue lines represent vpshock, vnei 1, vnei 2, and background components, respectively. The black lines represent the sum of the components. The bottom panels in each figure indicate (data − model)/error.

Other Images in This Article
Copyright and Terms & Conditions