Image Details

Choose export citation format:

STUDIES IN ASTRONOMICAL TIME SERIES ANALYSIS. VI. BAYESIAN BLOCK REPRESENTATIONS

  • Authors: Jeffrey D. Scargle, Jay P. Norris, Brad Jackson, and James Chiang

Scargle et al. 2013 The Astrophysical Journal 764 167.

  • Provider: AAS Journals

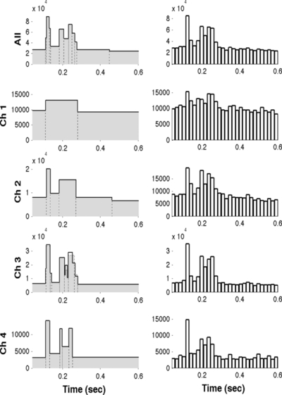
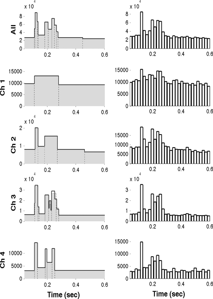
Caption: Figure 7.

BATSE TTE data for Trigger 0551. Top panels: all photons. Other panels: photons in the four BATSE energy channels. Left column shows Bayesian block representations: default ﹩\mbox{ncp}\_\mbox{prior}﹩ = solid lines; iterated ﹩\mbox{ncp}\_\mbox{prior}﹩ = shaded/dashed lines. Right column: ordinary evenly spaced binned histograms.

Other Images in This Article

Show More

Copyright and Terms & Conditions