Image Details

Choose export citation format:

STUDIES IN ASTRONOMICAL TIME SERIES ANALYSIS. VI. BAYESIAN BLOCK REPRESENTATIONS

  • Authors: Jeffrey D. Scargle, Jay P. Norris, Brad Jackson, and James Chiang

Scargle et al. 2013 The Astrophysical Journal 764 167.

  • Provider: AAS Journals

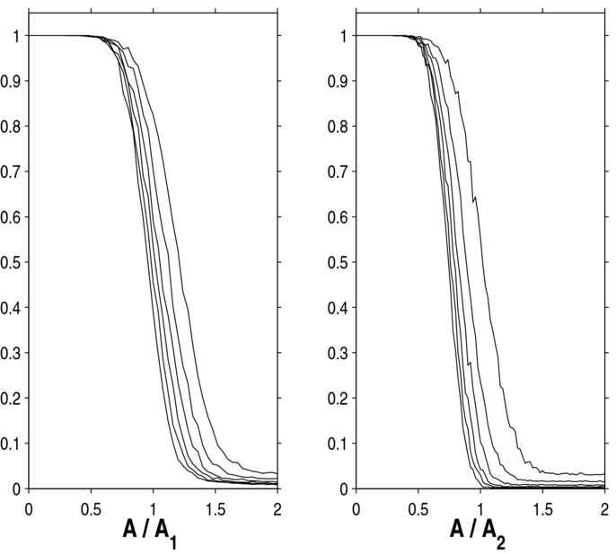
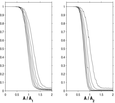
Caption: Figure 4.

Error in finding a single block vs. simulated block amplitude in units of Arias-Castro et al.'s (2005) threshold amplitude. The curves (from right to left) are for N = 32, 64, 128, 256, 1024, and 2048.

Other Images in This Article

Show More

Copyright and Terms & Conditions