Image Details

Choose export citation format:

2MASS Reprocessing. I. The Search for Faint Objects

  • Authors: Zehao Liu, Xiyan Peng, Zhenghong Tang, Zhaoxiang Qi, Shilong Liao, Yong Yu

Zehao Liu et al 2026 The Astronomical Journal 171 .

  • Provider: AAS Journals

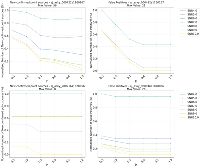
Caption: Figure 5.

Variation in the retention counts of new confirmed point sources (left) and false positives (right) with h under different SNR filtering ranges for Atlas images in sparse stellar fields. The images are from Sky Regions 1 and 3. Other specifications follow those of Figure 4.

Other Images in This Article
Copyright and Terms & Conditions

Additional terms of reuse