Image Details

Choose export citation format:

Dual-backend Multibeam Position-switching Targeted SETI Observations toward Nearby Active Planet-hosting Systems with FAST

  • Authors: Jian-Kang Li, Zhen-Zhao Tao, Pei Wang, Tong-Jie Zhang

Jian-Kang Li et al 2026 The Astronomical Journal 171 .

  • Provider: AAS Journals

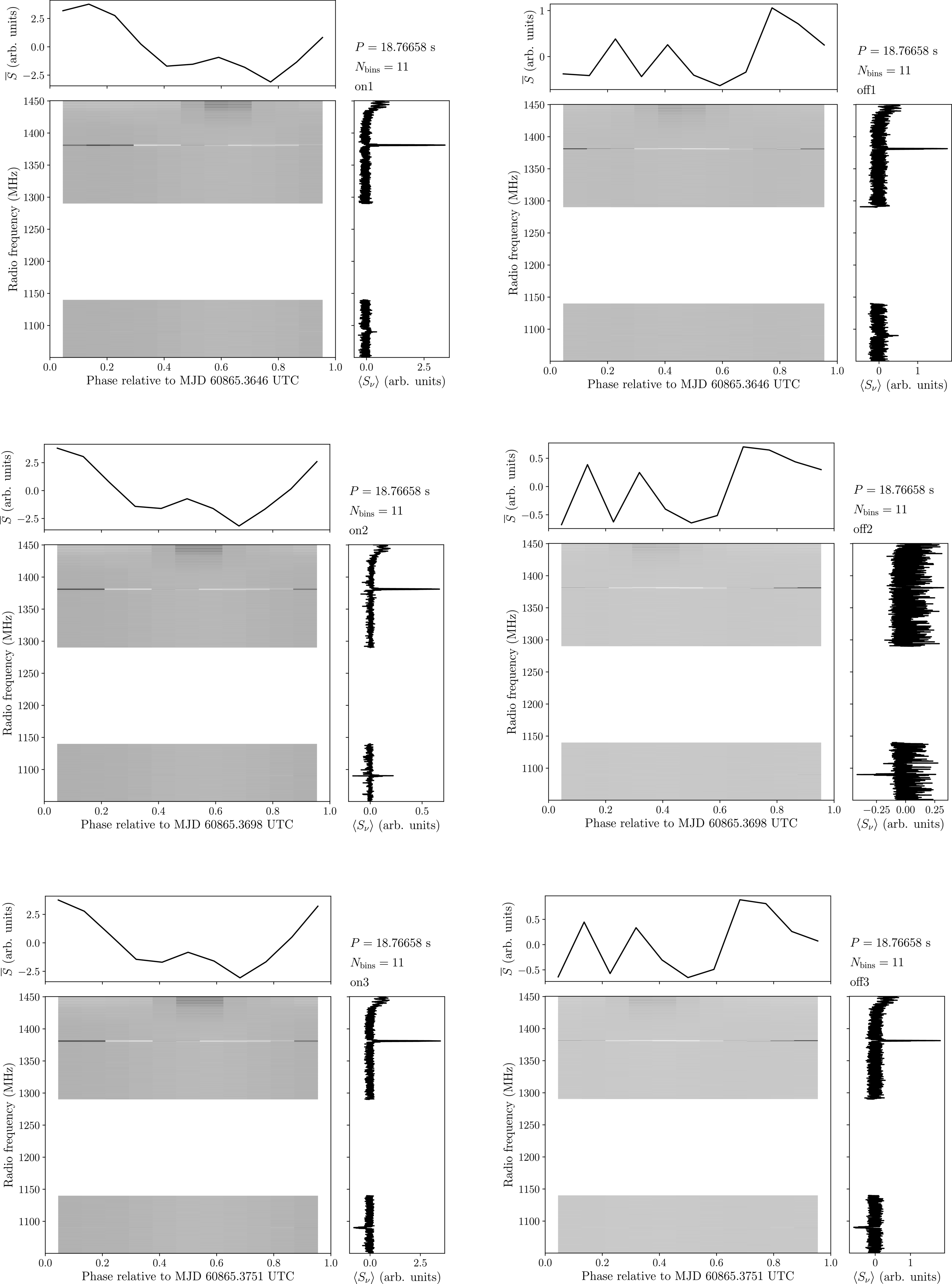
Caption: Figure 18.

Phase-resolved spectrum of Wolf 359 at P = 18.76658 s for the three on-source (left column) and off-source (right column) scans. The layout of each panel is the same as in Figure 17.

Other Images in This Article

Show More

Copyright and Terms & Conditions

Additional terms of reuse