Image Details

Choose export citation format:

A Combined Photometric and Polarimetric Study of L1578 and L1607: Dust Properties and Magnetic Field Structures

  • Authors: Sanchali Nath Mazumdar, Himadri Sekhar Das, Gulafsha B. Choudhury, Jeewan C. Pandey, Biman J. Medhi, Dipankar Paul, Rajat Subhra Paul, Bhaskarjyoti Barman, Biki Prasad, Nambram Niroda Devi

Sanchali Nath Mazumdar et al 2026 The Astronomical Journal 171 .

  • Provider: AAS Journals

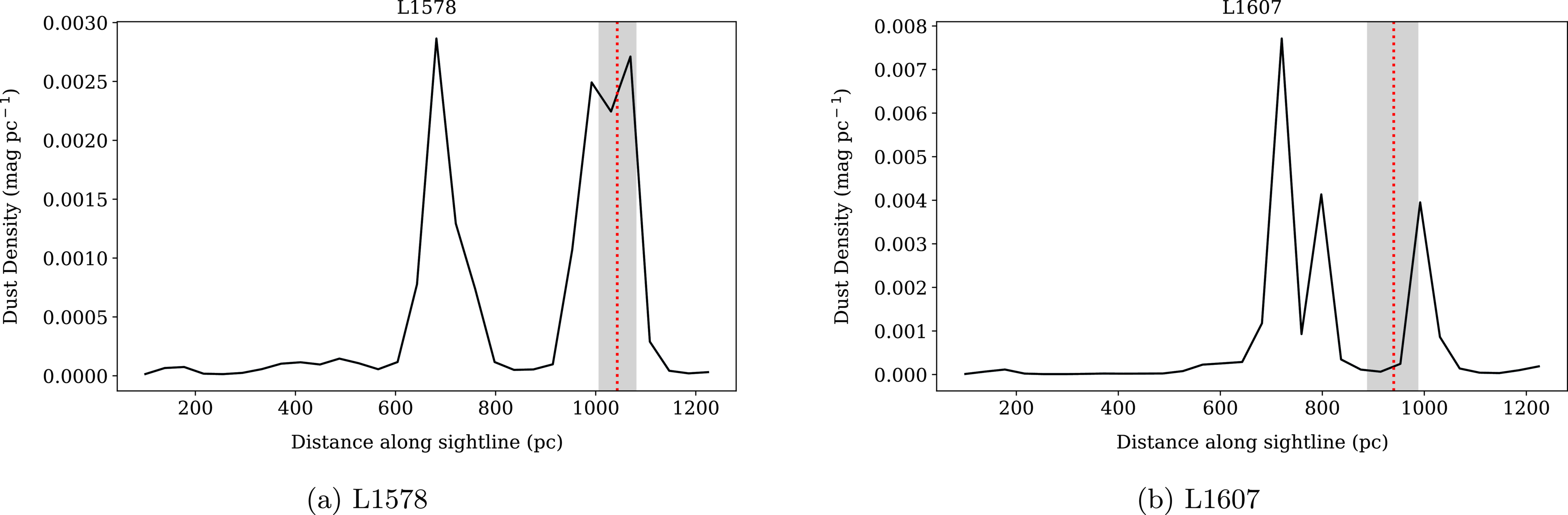
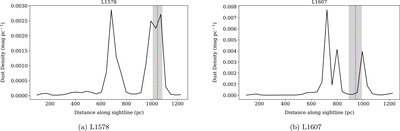
Caption: Figure 3.

Plots of dust density (mag pc−1) as a function of distance along the sightline (pc) for the two clouds, displaying two prominent dust layers for L1578 and three dust layers for L1607, along their respective lines of sight, retrieved via the dustmaps Python package as detailed by G. Edenhofer et al. (2024). The vertical dotted line denotes the estimated median distance (1043 pc for L1578 and 938 pc for L1607) to the molecular cloud, while the shaded region represents the half-width of the bracketed range (36 pc for L1578 and 49 pc for L1607).

Other Images in This Article
Copyright and Terms & Conditions

Additional terms of reuse