Image Details

Choose export citation format:

A Combined Photometric and Polarimetric Study of L1578 and L1607: Dust Properties and Magnetic Field Structures

  • Authors: Sanchali Nath Mazumdar, Himadri Sekhar Das, Gulafsha B. Choudhury, Jeewan C. Pandey, Biman J. Medhi, Dipankar Paul, Rajat Subhra Paul, Bhaskarjyoti Barman, Biki Prasad, Nambram Niroda Devi

Sanchali Nath Mazumdar et al 2026 The Astronomical Journal 171 .

  • Provider: AAS Journals

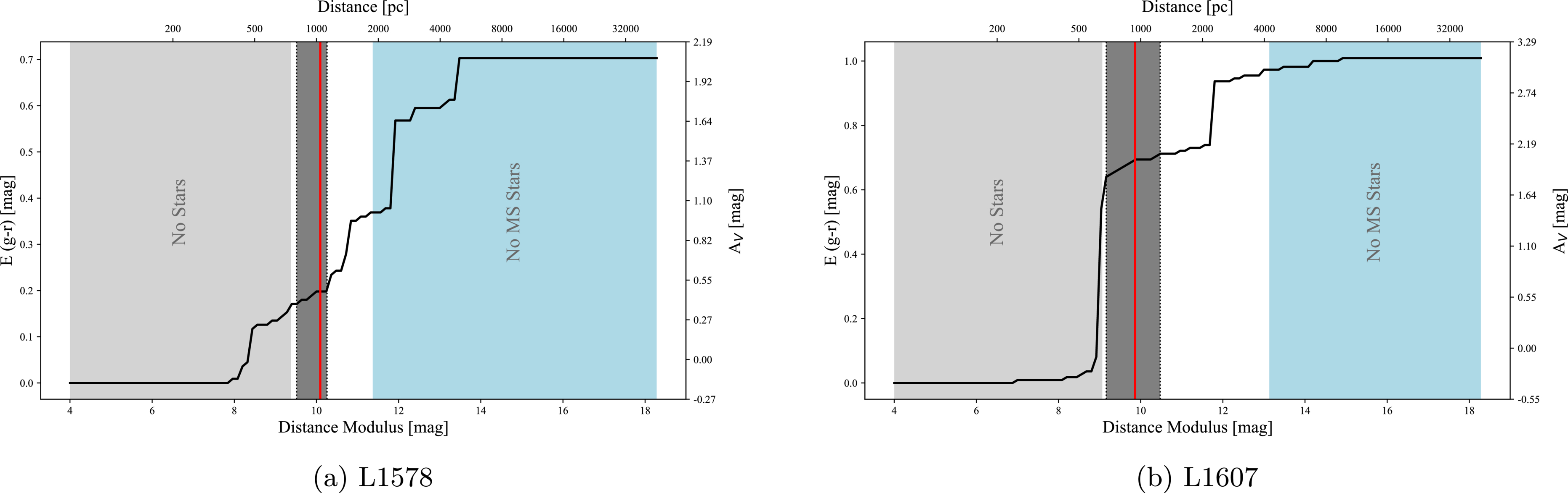
Caption: Figure 2.

Plots of reddening as a function of distance modulus along sightlines for the two clouds L1578 and L1607. The solid shaded region bounded by two vertical dotted lines marks the probable region of residence of the cloud, in each of the plots. The vertical solid line within the shaded region denotes the calculated median distance (1043 pc for L1578 and 938 pc for L1607) for the respective molecular cloud.

Other Images in This Article
Copyright and Terms & Conditions

Additional terms of reuse