Image Details

Choose export citation format:

PhotoD with LSST: Stellar Photometric Distances Out to the Edge of the Galaxy

  • Authors: Lovro Palaversa, Željko Ivezić, Neven Caplar, Karlo Mrakovčić, Bob Abel, Oleksandra Razim, Filip Matković, Connor Yablonski, Toni Šarić, Tomislav Jurkić, Sandro Campos, Melissa DeLucchi, Derek Jones, Konstantin Malanchev, Alex I. Malz, Sean McGuire, Mario Jurić

Lovro Palaversa et al 2025 The Astronomical Journal 169 .

  • Provider: AAS Journals

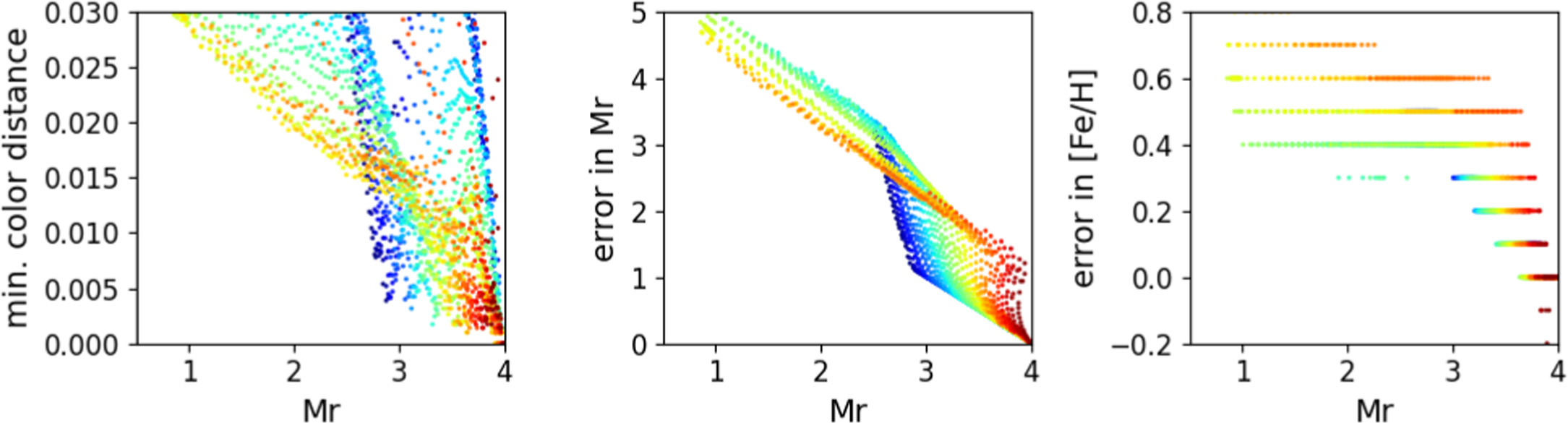
Caption: Figure 4.

Analysis of color degeneracies between giants and main-sequence stars. The left panel shows minimum color distance in four-dimensional color space (u − g, g − r, r − i, and i − z) between a position on the locus with Mr < 4 (giants) and any position on the main-sequence Mr > 4 locus (in magnitudes). Symbols are color coded by metallicity, linearly from blue to red for the range −2.5 to 0.5. The middle and right panels show errors in absolute magnitude and metallicity when a giant is misidentified as a main-sequence star closest to it in color space.

Other Images in This Article

Show More

Copyright and Terms & Conditions

Additional terms of reuse