Image Details

Choose export citation format:

PhotoD with LSST: Stellar Photometric Distances Out to the Edge of the Galaxy

  • Authors: Lovro Palaversa, Željko Ivezić, Neven Caplar, Karlo Mrakovčić, Bob Abel, Oleksandra Razim, Filip Matković, Connor Yablonski, Toni Šarić, Tomislav Jurkić, Sandro Campos, Melissa DeLucchi, Derek Jones, Konstantin Malanchev, Alex I. Malz, Sean McGuire, Mario Jurić

Lovro Palaversa et al 2025 The Astronomical Journal 169 .

  • Provider: AAS Journals

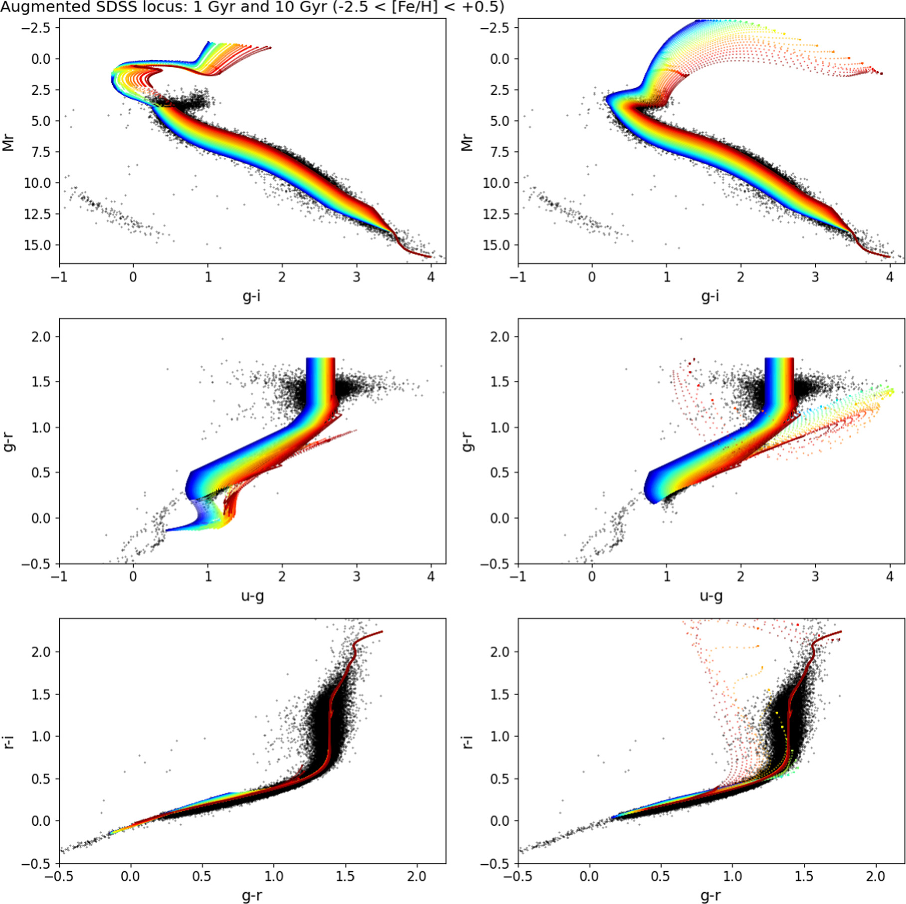
Caption: Figure 3.

Augmented SDSS color tracks for two isochrone ages (left: 1 Gyr; right: 10 Gyr) and the full metallicity range (−2.5 < [Fe/H] < +0.5, color coded linearly from blue to red). The black dots show the same sample of 63,000 stars from the middle panel in Figure 2. As can be seen in the top right panel, subgiant stars that could not be fit with empirical SDSS-based tracks (see the middle panel in Figure 2) can be explained with tracks for old stars and intermediate-range metallicity. The sharp feature protruding from the main locus in the middle two panels corresponds to most luminous and evolved high-metallicity stars. Note that diagrams in the bottom row, which do not include the u band, show very little dependence on metallicity.

Other Images in This Article

Show More

Copyright and Terms & Conditions

Additional terms of reuse